Электронные словари и энциклопедии: Большой энциклопедический словарь, Словарь Даля, Словарь Ожегова и т.д.

Геологический толковый словарь
"КОЭФФИЦИЕНТ УДЛИНЕННОСТИ"

Главная - Геологический толковый словарь - буква К - КОЭФФИЦИЕНТ УДЛИНЕННОСТИ
Геологический толковый словарь
Искать!

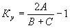
КОЭФФИЦИЕНТ УДЛИНЕННОСТИ — одна из характеристик степени анизометричности обломков в крупнообломочных осад. п. Вычисляется по формулам: или , где A, В и С — соответственно длина, ширина и толщина обломка (Вассоевич, 1958). См. Коэффициент уплощенности.



Поделитесь с друзьями:


Вы можете поставить ссылку на это слово:

будет выглядеть так: КОЭФФИЦИЕНТ УДЛИНЕННОСТИ


будет выглядеть так: Что такое КОЭФФИЦИЕНТ УДЛИНЕННОСТИ

Реклама:
Толковые словари и Энциклопедии. Словарь - КОЭФФИЦИЕНТ УДЛИНЕННОСТИ - Геологический толковый словарь - Толковые Словари и Энциклопедии