Электронные словари и энциклопедии: Большой энциклопедический словарь, Словарь Даля, Словарь Ожегова и т.д.

Химическая энциклопедия
"ДИСПЕРСНЫЕ КРАСИТЕЛИ"

Главная - Химическая энциклопедия - буква Д - ДИСПЕРСНЫЕ КРАСИТЕЛИ
Химическая энциклопедия
Искать!

ДИСПЕРСНЫЕ КРАСИТЕЛИ , спец. неионные красители для гидрофобных волокон, используемые при крашении в виде высокодисперсных водных суспензий. Не содержат групп, придающих р-римость в воде, вследствие чего она очень низка (при комнатной т-ре в 1 л воды растворяется от долей до неск. мг красителя). Молекулы Д. к. имеют небольшие размеры (мол. м. 250-500). Применяются Д. к. при крашении полиэфирных, полиамидных и ацетатных волокон, реже - полиакрилонитрильных (в светлые тона), а также при печатании по тканям гл. обр. из полиэфирных и ацетатных волокон. Д. к. -единств. группа красителей, пригодных для окрашивания полиэфирных и ацетатных волокон. Обеспечивают получение окрасок полной цветовой гаммы. В процессе крашения молекулы Д. к., перешедшие в р-р, сорбируются волокном и диффундируют в глубь него с образованием твердого р-ра в полимере. Краситель удерживается в полимере гл. обр. силами Ван-дер-Ваальса, в отдельных случаях - водородными связями. Выпускают Д. к. в виде тонкодисперсных порошков, гранул или в жидкой форме (в т. ч. паст) с размером осн. массы частиц не более 1 - 2 мкм; в их состав входят также вспомогат. в-ва, способствующие сохранению дисперсности при применении и хранении.
Основные группы дисперсных красителей. По хим. строению Д. к. - гл. обр. азокрасители и антрахиноновые красители , реже - стириловые, хинофталоновые красители, нитродифениламины, ароиленимидазолы, антрапиридоны и др. Дисперсные азокрасители обеспечивают гамму цветов от желтого до темно-синего. В осн. представлены моноазокрасителями - производными 4-аминоазобензола, дающими окраски оранжевых, красных, фиолетовых, темно-синих цветов, напр., алый Ж (ф-ла I) и бордо 2С (II). Получение широкой цветовой гаммы достигается изменением характера и положения заместителей в молекуле. Большинство моноазокрасителей содержит (в остатке диазосоставляющей) в пара -положении к азогруппе NO2 - гpyппy, углубляющую цвет (см. Цветность органических соединений ). Углублению цвета способствует также введение электроноакцепторных заместителей (CN, NO2, одного атома Сl или Вr) в положения 2 или 2,6 к азогруппе или электронодонорных заместителей (алкилов, алкокси- и ациламиногрупп) в остаток азосоставляющей. Электроноакцепторные заместители (CN, ОСОСН3) в алкиламиногруппах азосоставляющей. понижая основность атома N аминогруппы, приводят к повышению цвета. Гидроксиазокрасители (ОН-группа в орто- или пара -положении к азогруппе) применяют ограниченно для получения цветов от желтого до красного. Более яркие желтые цвета обеспечивают стириловые, хинофталоновые красители, ароиленимидазолы. Практич. значение имеет и небольшое число дисазокрасителей, преим. желтого и оранжевого цветов, напр., желтый прочный 4К (III). К Д. к. относятся моноазокрасители. содержащие первичные аминогруппы, способные диазотироваться на волокне и сочетаться с азосоставляющими (диазотирующиеся Д. к.), напр., диазочерный С (IV). Однако, ввиду сложности крашения, эти красители используют редко, гл. обр. для получения на ацетатных тканях прочных черных окрасок.
061_080-71.jpg
Антрахиноновые красители обеспечивают гамму красных, фиолетовых, синих и бирюзовых цветов, напр., розовый Ж (ф-ла V) и синий К - смесь соединений с основным компонентом ф-лы VI.
061_080-72.jpg
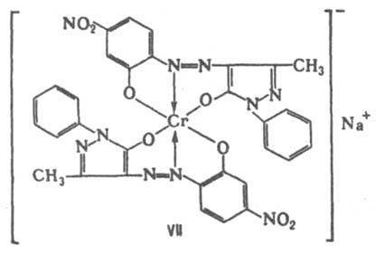
Они представлены: 1-амино-4-гидроксиантрахиноном и его замещенными, к-рые содержат в положении 2, напр., атом Вr, группы ОСН3, О(СН2)6ОН или ОС6Н5 и дают розовые и красные окраски; 1,4-диаминоантрахиноном и его производными, содержащими N-алкильные (или арильные), N,N-диалкильные, 5-нитро-, 2,3-дихлор- или 2-алкоксигруппы и обеспечивающими гамму цветов от красно-фиолетовых до сине-зеленых; синими красителями на основе 1,4,5,8-тетразамещенных антрахинона, содержащих группы ОН, NO2, NH2 или NHR (R - алкил, арил). Т. к. индивидуальные зеленые, коричневые, серые и черные Д. к. отсутствуют, для получения окрасок указанных цветов готовят смесовые композиции. Наиб. практич. значение имеют Д. к. для полиэфирного волокна. Поскольку в процессах крашения и отделки это волокно подвергается высокотемпературным обработкам, к окраскам Д. к. предъявляется требование высокой устойчивости не только к свету, но и к сублимации. Светостойкость окрасок повышается при введении в молекулу Д. к. электроноакцепторных заместителей, снижающих основность атома N в аминогруппе, а устойчивость к сублимации - при увеличении размера и полярности молекулы. В случае моноазокрасителей повышение устойчивости окрасок достигается введением в остаток диазосоставляющей в орто- положение к азогруппе Cl, Br, CN, в пара -положение - NO2, в пара- положение остатка азосоставляющей - N,N-диацетоксиэтиламино-, N-этил-N-цианоэтиламино-, N-цианоэтил-N-ацетоксиэтиламиногрупп; в ряду антрахиноновых красителей вводят, напр., атомы галогена. Светостойкость окрасок зависит также от хим. природы и физ. св-в волокна. Окраски многих Д. к. на полиамидном волокне менее светостойки, чем на ацетатном и полиэфирном. В особые группы выделяют металлсодержащие и активные Д. к., предназначенные для прочного окрашивания полиамидных волокон. Металлсодержащие Д. к. - металлкомплeксные соед., содержащие один атом Сr или Со на две молекулы моноазокрасителя, напр., дисперсный красный СМП (ф-ла VII, М - металлсодержащий, П - для полиамидных волокон).
061_080-73.jpg
Они превосходят обычные Д. к. по устойчивости окрасок к свету и мокрым обработкам, уступают по яркости и ровняющей способности. Используются преим. для получения темных тонов. Дисперсные активные красители (азокрасители и антрахиноновые красители, имеющие активные группы) сочетают хорошие ровняющие св-ва Д. к. с высокой устойчивостью окрасок к мокрым обработкам (см. также Активные красители ).
Технология крашения. Процесс проводят в присут. 1 - 2 г/л анионоактивного ПАВ, обычно диспергатора НФ [метилен-бис-(нафталинсульфоната)динатрия]. По периодич. схеме процесс осуществляют при повыш. т-ре: ацетатное волокно не выше 85 °С, полиамидное, триацетатное и полиакрилонитрильное при 98-100°С, полиэфирное при 130°С под давлением и рН 4,5-5,5 (т. наз. высокотемпературный способ). Триацетатное и полиамидное волокна можно также окрашивать под давлением при 115-120°С. Реже полиэфирное волокно окрашивают при 98-100°С в присут. переносчика, в качестве к-рого используют, напр., о- и п-фенилфенолы, дифенил, эфиры бензойной и салициловой к-т, производные нафталина; переносчик, изменяя состояние волокна и красителя, способствует увеличению скорости диффузии и сорбции Д. к. волокном. Крашение диазотирующимися Д. к. проводят вначале обычным периодич. способом, после чего осуществляют диазотирование красителя на ткани при ~ 15°С в р-ре, содержащем NaNO2 и НСl, а затем - азосочетание, напр., с 2-гидроксинафтойной к-той. По непрерывной схеме окрашивают ткани из полиэфирного волокна и его смесей с хлопковым или вискозным, используя термозольный способ: сначала ткань "плюсуют" (пропитывают и отжимают) в ванне, содержащей, кроме красителя и ПАВ, загуститель, напр., алъгинат Na, затем сушат при 120-140 °С и нагревают (термозолируют) ~ 1 мин при 190-210°С. Крашение металлсодержащими Д. к. осуществляют в присут. неионогенного ПАВ, напр., полиоксиэтилированного алкилфенола, при рН 8,0-8,5 ок. 100°С; в конце крашения вводят сульфат или ацетат аммония. Процесс можно проводить под давлением, использовать красители для печатания по тканям из полиамидных волокон, иногда - из триацетатных. При использовании активных Д. к. процесс проводят сначала в кислой среде (рН 3,5-4,0), когда красители не проявляют активных св-в и ровно окрашивают подобно Д. к., а затем в слабощелочной (рН 10,0-10,5), в к-рой красители взаимодействуют с волокном с образованием ковалентных связей. Активные Д. к. применяют также для печатания по полиамидным тканям. Различия в условиях крашения разными способами настолько значительны, что краситель, пригодный для одного из способов крашения, м. б. неприемлем для другого. Напр., для термозоль-процесса с высокими т-рами фиксации требуются Д. к. с высокой устойчивостью к сублимации, для термопечати - с низкой устойчивостью к сублимации, т. к. рисунок переносится на ткань с бумажной подложки в результате сублимации красителя при нагревании. При крашении в присут. переносчика необходимы Д. к. с повыш. светостойкостью, т. к. переносчики могут ее понизить, при крашении изделий из текстурированных нитей - красители с хорошими миграционными св-вами и способностью скрывать структурную неоднородность волокна. Лит.: Химия синтетических красителей, пер. с англ., т. 3, Л., 1974, с. 2029-2091; Чекалин М. А., Пассет Б. В., Иоффе Б. А., Технология органических красителей и промежуточных продуктов, 2 изд., Л., 1980, с. 249-50, 319-23, 379-84; Мельников Б. Н., Виноградова Г. И.. Применение красителей, М., 1986, с. 43, 156-165; Гордон П., Грегори П., Органическая химия красителей, пер. с англ. под ред. Г. Н. Ворожцова, М., 1987. с. 28, 297-99, 327-28. Г. И. Шилова.



Поделитесь с друзьями:


Вы можете поставить ссылку на это слово:

будет выглядеть так: ДИСПЕРСНЫЕ КРАСИТЕЛИ


будет выглядеть так: Что такое ДИСПЕРСНЫЕ КРАСИТЕЛИ

Реклама:
Толковые словари и Энциклопедии. Словарь - ДИСПЕРСНЫЕ КРАСИТЕЛИ - Химическая энциклопедия - Толковые Словари и Энциклопедии