Электронные словари и энциклопедии: Большой энциклопедический словарь, Словарь Даля, Словарь Ожегова и т.д.

Химическая энциклопедия
"ДИФФУЗИЯ"

Главная - Химическая энциклопедия - буква Д - ДИФФУЗИЯ
Химическая энциклопедия
Искать!

ДИФФУЗИЯ (от лат. diflusio - распространение, растекание, рассеивание), перенос частиц разной природы, обусловленный хаотич. тепловым движением молекул (атомов) в одно-или многокомпонентных газовых либо конденсир. средах. Такой перенос осуществляется при наличии градиента концентрации частиц или при его отсутствии; в последнем случае процесс наз. самодиффузией (см. ниже). Различают Д. коллоидных частиц (т. наз. броуновская Д.), в твердых телах, молекулярную, нейтронов, носителей заряда в полупроводниках и др.; о переносе частиц в движущейся с определенной скоростью среде (конвективная Д.) см. Массообмен . Переноса процессы , о Д. частиц в турбулентных потоках см. Турбулентная диффузия . Все указанные виды Д. описываются одними и теми же феноменологич. соотношениями.
Основные понятия. Главной характеристикой Д. служит плотность диффузионного потока J - кол-во в-ва, переносимого в единицу времени через единицу площади пов-сти, перпендикулярной направлению переноса. Если в среде, где отсутствуют градиенты т-ры, давления, электрич. потенциала и др., имеется градиент концентрации с (х, t), характеризующий ее изменение на единицу длины в направлении х (одномерный случай) в момент времени t, то в изотропной покоящейся среде

J = -D(дс/дх), (1)

где D - коэффициент Д. (м2/с); знак "минус" указывает на направление потока от больших концентраций к меньшим. Пространственно-временное распределение концентрации:
081_100-71.jpg
Ур-ния (1) и (2) наз. первым и вторым законами Фика. Трехмерная Д. [с (х, у, z; t)] описывается ур-ниями:

J = -D grad c (3)

081_100-72.jpg
где J - вектор плотности диффузионного потока, grad - градиент поля концентрации. Перенос частиц в среде осуществляется как последовательность их случайных перемещений, причем абс. величина и направление каждого из них не зависят от предыдущих. Диффузионное движение в среде каждой частицы обычно характеризуют среднеквадратичным смещением L2 от исходного положения за время t. Для трехмерного пространства справедливо первое соотношение Эйнштейна: L2 = GDt. Т. обр., параметр D характеризует эффективность воздействия среды на частицы. В случае Д. в многокомпонентных смесях в отсутствие градиентов давления и т-ры (изобарно-изотермич. Д.) для упрощения описания взаимного проникновения компонентов при наличии градиентов их концентраций вводят т. наз. коэффициенты взаимной Д. Напр., при одномерной Д. в двухкомпонентной системе выражение для диффузионного потока одного из компонентов принимает вид:
081_100-73.jpg
где c1 + с2 = const, D12 = D21 - коэф. взаимной Д. обоих компонентов. В результате неравномерного нагревания среды под влиянием градиента т-ры происходит перенос компонентов газовых или жидких смесей - термодиффузия (в р-рах - эффект Соре). Если между отдельными частями системы поддерживается постоянная разность т-р, то вследствие термодиффузии в объеме смеси появляются градиенты концентрации компонентов, что инициирует обычную Д. Последняя в стационарном состоянии (при отсутствии потока в-ва) уравновешивает термодиффузию, и в системе возникает разность концентраций компонентов. Это влияние лежит в основе одного из методов разделения изотопов, а также термодиффузионного разделения нефтяных фракций. При внеш. воздействии на систему градиента давления или гравитац. поля возникает бародиффузия. Примеры: диффузионное осаждение мелких взвешенных частиц при столкновении их с молекулами газа (см. Пылеулавливание ); баромембранные процессы - обратный осмос, микро- и ультрафильтрация (см. Мембранные процессы разделения , Осмос ). Действие на систему внеш. электрич. поля вызывает направленный перенос заряженных частиц - электродиффузию. Примеры: электромембранные процессы, напр., электродиализ - разделение под действием электрич. тока ионизированных соед. вследствие избират. переноса ионов через ионообменные мембраны; Д. носителей заряда - перемещение электронов проводимости и дырок, обусловленное неоднородностями их концентрации в полупроводниках. Математически законы Фика аналогичны ур-ниям теплопроводности Фурье. В основе такой аналогии лежат общие закономерности необратимых процессов перераспределения интенсивных параметров состояния (концентрации, т-ры, давления и др.) между разл. частями к.-л. системы при стремлении ее к термодинамич. равновесию. При малых отклонениях системы от него эти закономерности описываются линейными соотношениями между потоками физ. величин и термодинамич. силами, т. е. градиентами параметров, вызывающими указанные отклонения. В частности, диффузионный поток частиц данного типа, помимо градиентов концентраций частиц каждого типа, может при соответствующих условиях в большей степени определяться градиентами др. интенсивных параметров и внеш. силами. В общем виде связь между потоками и силами описывается феноменологич. ур-ниями термодинамики необратимых процессов . Напр., в случае электронейтральной бинарной газовой системы при наличии градиента т-ры дТ/дх, градиента давления др/дх и градиента электрич. потенциала дj/дx выражение для диффузионного потока частиц с зарядом qi в одномерном случае принимает вид:
081_100-74.jpg
где с - общее число частиц смеси в единице объема; ni = ci/c -относит. доля частиц i-гo компонента (i = 1, 2); Dp, DT - коэф. баро- и термодиффузии; mi = qiD/kТ (соотношение Нернста - Эйнштейна) - подвижность частиц 1-го компонента в электрич. поле; k - постоянная Больцмана; T - абс. т-ра. Напр., в бинарной газовой смеси при постоянном давлении и отсутствии внеш. сил полный диффузионный поток
081_100-75.jpg
При отсутствии потока (J = 0) распределение концентраций находят по ф-ле:
081_100-76.jpg
где kT = DT/D12. Коэф. DT в значит. степени зависит от межмолекулярного взаимод., поэтому его изучение позволяет исследовать межмолекулярные силы в разл. средах. Одновременно с диффузионным переносом частиц посторонних в-в (примесей), неравномерно распределенных в к.-л. среде, происходит самодиффузия - случайное перемещение частиц самой среды, хим. состав к-рой при этом не изменяется. Данный процесс, наблюдаемый даже в отсутствие в системе термодинамич. сил, описывается ур-ниями Фика, в к-рых D заменен параметром Dc, называемым коэф. самодиффузии. Эффекты самодиффузии могут приводить к сращиванию двух пришлифованных образцов одного и того же в-ва, спеканию порошков при пропускании через них электрич. тока, к растягиванию тел под действием подвешенного к ним груза (диффузионная ползучесть материалов) и т. д. При взаимной диффузии в твердых телах поток атомов одного сорта может превосходить идущий в обратном направлении поток атомов др. сорта, если для нескомпенсир. вакансий (а возможно, и для нескомпенсир. атомов) имеются стоки. При этом в кристалле появляются поры, приводящие к нарушению устойчивости кристаллич. решетки как мех. системы и, вследствие этого, к смещению кристаллич. плоскостей как целого (эффект Киркиндаля). В частности, при взаимной диффузии в бинарных металлич. системах наблюдается перемещение "инертных" меток, напр., тонких тугоплавких проволочек из Мо или W диаметром неск. мкм, внесенных в зону диффузии. Скорость диффузионного массопереноса в разл. в-вах или материалах иногда удобно характеризовать константой их проницаемости П = Dg, где g - константа Генри, определяющая равновесную р-римость переносимого компонента. В частности, выражение для стационарного потока молекул газа, диффундирующих через разделит. перегородку (мембрану) толщиной d, имеет вид: J = ПgDр/d, где Dр - разность парциальных давлений разделяемых компонентов газовой смеси по обе стороны перегородки. Коэф. Д. существенно различаются для диффузионных процессов в газовых и конденсированных (жидких и твердых) средах: наиб. быстро перенос частиц происходит в газах (D порядка 10-4 м2/с при нормальных т-ре и давлении), медленнее - в жидкостях (порядка 10-9), еще медленнее - в твердых телах (порядка 10-12). Проиллюстрируем указанные выводы на примерах молекулярной Д.
Диффузия в газовых средах. Для оценки D в качестве характерного (среднего) смещения частиц принимают длину своб. пробега молекул l = ut, где и и t - средние скорость движения частиц и время между их столкновениями. В соответствии с первым соотношением Эйнштейна D ~ l2t-1; более точно D = 1/3 lu. Коэф. Д. обратно пропорционален давлению р газа, поскольку l ~ 1/р; с повышением т-ры Т (при постоянном объеме) D возрастает пропорционально T1/2, т. к.081_100-77.jpg ; с увеличением мол. массы газа D снижается. Согласно кинетич. теории газов, коэф. взаимной Д. газов А и В в бинарной смеси (табл. 1)
081_100-78.jpg
где р - полное давление в системе, тA и тB - массы газов, sA и sB - параметры потенциала Леннард-Джонса (см., напр., Абсорбция ).
081_100-79.jpg
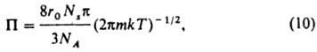
Большой практич. интерес представляет перенос газов через сквозные поры в твердых телах. При относительно малых давлениях газа или размерах пор (r0), когда частота столкновений молекул газа со стенками пор превышает частоту взаимных столкновений молекул, т. е. средняя длина их своб. пробега l >> r0 (для нормального давления при r0 < 10-7 м), наблюдается т. наз. кнудсеновская Д. При этом газовый поток через пористую перегородку пропорционален средней скорости молекул и константа газопроницаемости определяется из ур-ния:
081_100-80.jpg
где Ns - поверхностная плотность пор в перегородке. Поскольку средняя скорость молекул обратно пропорциональна квадратному корню из их масс 081_100-81.jpg, компоненты разделяемой газовой смеси проникают через поры мембраны с разл. скоростями; в результате прошедшая через перегородку смесь обогащается более легкими компонентами. С увеличением давления газа в таких пористых системах возрастает поверхностная концентрация молекул, адсорбированных на стенках пор. Образовавшийся адсорбц. слой может оказаться подвижным и перемещаться вдоль пов-сти поры, вследствие чего параллельно с объемным диффузионным переносом в ней возможна поверхностная Д. газа. Последняя оказывает иногда существ. влияние на кинетику хим. превращений, обусловливая неравновесное распределение в системе взаимод. реагентов.
Диффузия в конденсированных средах. В жидкостях и твердых телах Д. осуществляется перескоками частиц из одного устойчивого положения в другое, расстояние между ними имеет порядок межмолекулярного. Для таких перескоков необходимы локальная перестройка ближнего окружения каждой частицы (вероятность перестройки характеризуется энтропией активации DS) и случайное накопление в этой области нек-рого кол-ва тепловой энергии ED (энергия активации Д.). После перескока каждая частица оказывается в новом энергетически выгодном положении, а выделяющаяся энергия рассеивается в среде. При этом D = D0exp(-ED/RT), где D0 = nexp (DS/R) - энтропийный фактор, зависящий от частоты "тепловых ударов" молекул среды (n ~ 1012 с-1), R - газовая постоянная. Диффузионное движение частиц в жидкости определяется ее вязкостными св-вами, размерами частиц и характеризуется их т. наз. подвижностью ( ~ D/kT откуда D ~ (kT (второе соотношение Эйнштейна). Параметр ( - коэф. пропорциональности между скоростью частицы и и движущей силой F при стационарном движении с трением (и = (F). Напр., в случае сферически симметричных частиц радиусом г. для к-рых ( = 1/6prh(T), справедливо ур-ние Стокса-Эйнштейна: D = kT/6prh(T), где h(T) - коэф. динамич. вязкости среды в функции от т-ры. Повышение D с увеличением т-ры в жидкостях объясняется уменьшением плотности упаковки их молекул ("разрыхлением структуры") при нагр. и, как следствие, возрастанием числа перескоков частиц в единицу времени. Коэф. Д. разных в-в в жидкостях приведены в табл. 2 и 3; характерные значения ED ~ 20-40 кДж/моль.
081_100-82.jpg

Коэф. Д. в твердых орг. телах имеют значит. разброс, достигая в ряде случаев значений, сравнимых с соответствующими параметрами в жидкостях. Наиб. интерес представляет Д. газов в полимерах. Коэф. Д. в них (табл. 4) зависят от размеров диффундирующих молекул, особенностей взаимод. их с фрагментами макромолекул, подвижности полимерных цепей, своб. объема полимера (разность между реальным объемом и суммарным объемом плотно упакованных молекул) и неоднородностью его структуры.
081_100-84.jpg
Высокие значения D при т-рах выше т-ры стеклования полимеров обусловлены большой подвижностью в данных условиях фрагментов макромолекул, что приводит к перераспределению своб. объема и соотв. к возрастанию DS и уменьшению ED. При т-рах ниже т-ры стеклования коэф. Д. имеют, как правило, меньшие значения. При Д. в полимерах жидкостей значения D могут зависеть от концентрации растворенных компонентов вследствие их пластифицирующего действия. Коэф. Д. ионов в ионообменных смолах в значит. степени определяются их влагосодержанием (среднее число п молекул воды, приходящееся на одну ионогенную группу). При высоком влагосодержании (п > 15) коэф. Д. сопоставимы с соответствующими D для ионов в электролитах (см. табл. 5 и 3). При п < 10 коэф. Д. экспоненциально снижаются с уменьшением п.
081_100-85.jpg
В твердых неорг. телах, где доля своб. объема и амплитуды колебаний атомов кристаллич. решетки незначительны, Д. обусловлена наличием нарушений в их структуре (см. Дефекты в кристаллах), возникающих при изготовлении, нагревании, деформациях и др. воздействиях. При этом м. б. реализованы неск. механизмов Д.: обмен местами атомов и обмен местами двух соседних атомов, одновременное циклич. перемещение неск. атомов, передвижение их по междоузлиям и др. Первый механизм преобладает, напр., при образовании твердых р-ров замещения, последний - твердых р-ров внедрения. Диффузионные процессы происходят с заметной скоростью только при высоких т-рах. Напр., как следует из табл. 6, коэф. Д. О2 в СаО и Сr2О3 при повышении т-ры с 20 до 300 °С возрастают соотв. в 2.1010 и 3.1039 раз. При массoпереносе в области линейных дислокаций и по поверхностным (границы зерен) дефектам в поликристаллич. телах D увеличиваются на 4-5 порядков.
081_100-86.jpg
Для определения коэф. Д. расчетные данные (концентрац. профили и потоки диффундирующих частиц, сорбиционно-десорбц. закономерности) сравнивают с экспериментальными. Последние находят с помощью разл. физ.-хим. методов: изотопных индикаторов, рентгеновского микроанализа, гравиметрии, масс-спектрометрии, оптических (рефрактометрия, ИК спектроскопия) и др.
Значение диффузионных процессов. Д. играет важную роль в разл. областях науки и техники, в процессах, происходящих в живой и неживой природе. Д. оказывает влияние на протекание или определяет механизм и кинетику хим. р-ций (см., напр., Диффузионных пламен метод , Макрокинетика ), а также мн. физ.-хим. процессов и явлений: мембранных, испарения, конденсации, кристаллизации, растворения, набухания, горения, каталитических, хроматографических, люминесцентных, электрич. и оптич. в полупроводниках, замедления нейтронов в ядерных реакторах и т. д. Большое значение имеет Д. при образовании на границах фаз двойного электрич. слоя, диффузиофорезе (см. Электроповерхностные явления ) и элекрофорезе (см. Электрокинетические явления ), в электрохим. методах анализа и процессах (см., напр., Диффузионный потенциал , Диффузионный ток ), в фотографич. процессах для быстрого получения позитивного изображения и др. Д. служит основой мн. распространенных техн. операций: спекания порошков, химико-термич. обработки металлов (напр., азотирования и цементации сталей), гомогенизации сплавов, металлизации и сварки материалов, дубления кожи и меха, крашения волокон; перемещения газов с помощью т. наз. диффузионных насосов. Д. - одна из стадий многочисл. химико-технол. процессов (напр., массообменных); представления о диффузионном переносе в-ва используют при моделировании структуры потоков в хим. реакторах и др. Роль Д. существенно возросла в связи с необходимостью создания материалов с заранее заданными св-вами для развивающихся областей техники (ядерной энергетики, космонавтики, радиационных и плазмохим. процессов и т. п.). Знание законов, управляющих Д., позволяет предупреждать нежелательные изменения в изделиях, происходящие под влиянием высоких нагрузок и т-р, облучения и т. д. Закономерностям Д. подчиняются процессы физ.-хим. эмиграции элементов в земных недрах и во Вселенной, а также процессы жизнедеятельности клеток и тканей растений (напр., поглощение корневыми клетками N, Р, К - осн. элементов минер. питания) и живых организмов. Лит.: Франк-Каменецкий Д. А., Диффузия и теплопередача в химической кинетике, 2 изд., М., 1967; Хаазе Р., Термодинамика необратимых процессов, пер. с нем., М., 1967; Процессы взаимной диффузии в сплавах, под ред. К. П. Гурова, М., 1973; Берд Р., Стьюарт В., Лайтфут Е., Явления переноса, пер. с англ., М., 1974; Кофстад П., Отклонение от стехиометрии, диффузия и электропроводность в простых окислах металлов, пер. с англ., М., 1975; Николаев Н. И., Диффузия в мембранах, М., 1980; Шервуд Т., Пигфорд Р., Уилки Ч., Массопередача, пер. с англ., М., 1982; Физический энциклопедический словарь, М., 1983, с. 174-75, 652, 754; Овчинников А. А., Тимашев С. Ф., Белый А. А., Кинетика диффузионно-контролируемых химических процессов, М., 1986; Чалых А. Е., Диффузия в полимерных системах, М., 1987. С. Ф. Тимашев.



Поделитесь с друзьями:


Вы можете поставить ссылку на это слово:

будет выглядеть так: ДИФФУЗИЯ


будет выглядеть так: Что такое ДИФФУЗИЯ

Реклама:
Толковые словари и Энциклопедии. Словарь - ДИФФУЗИЯ - Химическая энциклопедия - Толковые Словари и Энциклопедии