Электронные словари и энциклопедии: Большой энциклопедический словарь, Словарь Даля, Словарь Ожегова и т.д.

Химическая энциклопедия
"ФЕНИЛИН"

Главная - Химическая энциклопедия - буква Ф - ФЕНИЛИН
Химическая энциклопедия
Искать!

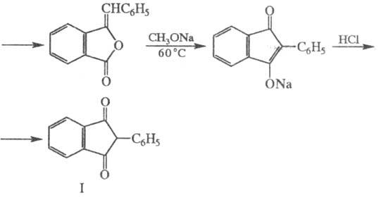
ФЕНИЛИН (2-фенил-1,3-индандион, ф-ла I), мол. м. 222,24; бесцв. или кремовые кристаллы; т. пл. 148-151 0C; практически не раств. в воде, плохо раств. в этаноле, диэтиловом эфире, хорошо - в бензоле, хлороформе, CCl4. При стоянии на свету темнеет, под действием щелочных агентов приобретает красноватую окраску вследствие енолизации. Ф. получают по схеме:

5013-37.jpg

5013-38.jpg

Ф.- активный непрямой антикоагулянт крови, приводит к нарушению образования протромбина в печени и уменьшает содержание разл. факторов свертывания крови, является антагонистом витамина К. Действует медленно и продолжительно. Применяют Ф. при лечении тромбозов, тромбофлебитов и др.

Л. H. Койков.



Поделитесь с друзьями:


Вы можете поставить ссылку на это слово:

будет выглядеть так: ФЕНИЛИН


будет выглядеть так: Что такое ФЕНИЛИН

Реклама:
Толковые словари и Энциклопедии. Словарь - ФЕНИЛИН - Химическая энциклопедия - Толковые Словари и Энциклопедии