Электронные словари и энциклопедии: Большой энциклопедический словарь, Словарь Даля, Словарь Ожегова и т.д.

Химическая энциклопедия
"ФОСФОРСОДЕРЖАЩИЕ ГЕТЕРОЦИКЛЫ"

Главная - Химическая энциклопедия - буква Ф - ФОСФОРСОДЕРЖАЩИЕ ГЕТЕРОЦИКЛЫ
Химическая энциклопедия
Искать!

ФОСФОРСОДЕРЖАЩИЕ ГЕТЕРОЦИКЛЫ , гетероциклич. соед., содержащие в цикле в качестве гетероатома один или неск. атомов фосфора (наряду с др. гетероатомами или без них).

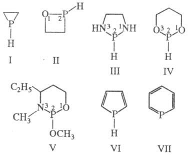
Называют Ф. г. по правилам номенклатуры гетероциклических соединений с использованием префикса "фосфа" (в нек-рых случаях "фосф" и "фосфор"; последний применяют всегда, если корень начинается с букв "ин"). Цифровые индексы указывают положение заместителей в кольце. Напр.: соед. I наз. фосфиран, соед. II - 1,2-оксафосфетан, соед. III -1, 2, 3-диазафосфолан, соед. IV- 1,3, 2-диоксафосфоринан, соед. V - 3-метил-2-метокси-4-этил-1, 3, 2-оксаазафосфори-нан, соед. VI - фосфол, соед. VII - фосфорин.

5032-16.jpg

Наиб. подробно изучены моноциклич. Ф. г. Насыщенные моноциклич. Ф. г. во многом напоминают по св-вам соответствующие ациклич. соединения. Так, соед. VIII и IX проявляют примерно одинаковую склонность к окислению, суль-фуризации, алкилированию. Оба реагируют со спиртами с разрывом связи P-N. Однако ациклич. соед. легко обменивает на алкоксил все три амидогруппы, а циклические -только одну (экзоциклическую); др. группы также могут принимать участие в обмене, но в более жестких условиях.

5032-17.jpg

Реакц. способность таких гетероциклов зависит и от их геометрии. Так, стереоизомер X с аксиальной алкоксильной группой легче окисляется по атому P, чем стереоизомер XI с такой же группой в экваториальном положении.

5032-18.jpg

Размер кольца в Ф. г. также определяет ряд св-в этих соединений. Как правило, 1,3,2-диоксафосфоринаны (6-член-ные гетероциклы) являются более электронодонорными соед., чем подобные 1, 3, 2-диоксафосфоланы (5-членные гетероциклы).

Ф. г., содержащие в цикле связи P-O, могут полимеризо-ваться. Катализаторы такого процесса - алкилгалогениды, "включающие" механизм Арбузова реакции , напр.:

5032-19.jpg

Большим своеобразием обладают напряженные бициклич. Ф. г. (напр., соед. XII). Угловое напряжение в связях О —P-O таких соед. приводит к понижению основности и нуклеофильности бициклов. По этой причине бициклофосфиты более стабильны, чем триалкилфосфиты. У этих соед. очень легко (значительно легче, чем у триалкилфосфатов) происходит разрыв связи P-O при действии протонсо- держащих нуклеофилов; эта р-ция проявляет высокую регио-селективность, напр.:

5032-20.jpg

5032-21.jpg

Для получения Ф.г. используют разл. р-ции, напр.:

5032-22.jpg

Важную роль в получении Ф. г. играют фосфоэфирные циклизации, напр. (В — основание):

5032-23.jpg

К Ф. г. относятся нек-рые очень важные прир. в-ва (напр., аденозинмонофосфат циклический ), лек. ср-ва, пестициды, лиганды для металлокомплексных катализаторов, мономеры. Ф. г. широко используют в тонком орг. синтезе.

См. также Дигетерофосфоланы , Дигетерофосфоринаны .

Лит.: ПурделаД., Вылчану Р., Химия органических соединений фосфора, пер. с рум., M., 1972; Нифантьев Э.Е., Завалишина А.И., "Успехи химии", 1982, т. 51, в. 10, с. 1601-37; Черкасов Р.А. [и др.], "Успехи химии", 1982, т. 51, в. 8, с. 1305-36; M a th ey R, "Topics phosphorus chemistry", 1980, v. 10, p. 1-128; Quin L., The heterocyclic chemistry of phosphorus systems based on the phosphorus-carbon bond, N.Y., 1981.

Э.Е. Нифантьев.



Поделитесь с друзьями:


Вы можете поставить ссылку на это слово:

будет выглядеть так: ФОСФОРСОДЕРЖАЩИЕ ГЕТЕРОЦИКЛЫ


будет выглядеть так: Что такое ФОСФОРСОДЕРЖАЩИЕ ГЕТЕРОЦИКЛЫ

Реклама:
Толковые словари и Энциклопедии. Словарь - ФОСФОРСОДЕРЖАЩИЕ ГЕТЕРОЦИКЛЫ - Химическая энциклопедия - Толковые Словари и Энциклопедии