Электронные словари и энциклопедии: Большой энциклопедический словарь, Словарь Даля, Словарь Ожегова и т.д.

Химическая энциклопедия
"ГЛИКОЗИДЫ"

Главная - Химическая энциклопедия - буква Г - ГЛИКОЗИДЫ
Химическая энциклопедия
Искать!

ГЛИКОЗИДЫ (от греч. glykys-сладкий и eidos-вид), соед., в к-рых остаток циклич. формы моно- или олигосахарида (гликозильный, или углеводный, остаток) связан с др. орг. остатком (агликоном) через гетероатом; соотв. различают О-, N-, S-гликозиды и др. Связь между гликозильным остатком и агликоном наз. гликозидной.

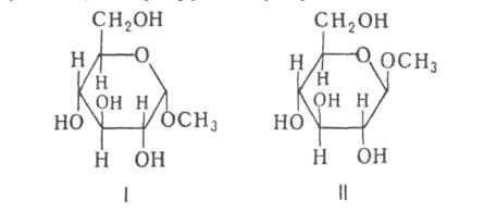
При образовании Г. возникает новый асимметрич. гликозидный центр. Его конфигурацию обозначают1113-40.jpgили1113-41.jpg в зависимости от того, совпадает она или нет с конфигурацией того углеродного атома моносахарида, к-рый определяет принадлежность последнего к D- или L-ряду. Напр., в изомерных метил-О-глюкопиранозидах конфигурация1113-42.jpg отражается ф-лой I, конфигурация1113-43.jpg-ф-лой II:
1113-44.jpg

По размеру цикла углеводного остатка Г. делят на фуранозиды (5-членные), пиранозиды (6-) и септанозиды. (7-); по числу моносахаридных остатков в углеводной части молекулы - на моноозиды, биозиды, триозиды и олигозиды (соотв. производные моно-, ди-, три- и олигосахаридов).

Присоединение гликозильного остатка к агликону (гликозилирование) повышает гидрофильность соединения, что играет важную роль в метаболизме. Мн. углеводные остатки, особенно олигосахаридные, выполняют ф-ции специфич. маркеров пов-стей клеток и биополимеров, обусловливающих их узнавание др. клетками.

К О-гликозидам в широком смысле слова относят не только Г. с неуглеводными агликонами, но и внутр. ангидриды Сахаров (внутр. Г.), олиго- и полисахариды. О-Г.-малолетучие кристаллич. или аморфные в-ва. Г. низших спиртов легко раств. в воде, спиртах, не раств. в малополярных орг. р-рителях. Р-римость Г. со сложными агликонами в значит. мере определяется хим. особенностями последнего: соед. с полярными агликонами (напр., Г. полиолов) раств. в воде, соед. с крупными гидрофобными агликонами не раств. в воде и малополярных р-рителях. Для олигозидов с большими малополярными агликонами (напр., сапонины) характерны пенообразующие св-ва.

Г. не обладают хим. св-вами восстанавливающих Сахаров, обусловленными карбонильной группой, не подвержены мутаротации. Они легко ацилируются ангидридами и галоген-ангидридами к-т в пиридине с образованием сложных эфиров, алкилируются типичными алкилирующими агентами в сильнощелочных средах, образуют циклич. ацетали и кетали при конденсации с карбонильными соед., окисляются периодатами с расщеплением связей С—С, подвергаются кислотному гидролизу, алкоголизу, формолизу с расщеплением гликозидной связи. Скорость гидролиза в Наиб. степени зависит от размера цикла: фуранозиды гидролизуются на два порядка быстрее пиранозидов. Механизм гидролиза м. б. представлен след. схемой (знак ~ означает, что молекула Г. может иметь1113-45.jpg или1113-46.jpgконфигурацию):
1113-47.jpg

Скорость ферментативного гидролиза, к-рый осуществляется под действием гликозидгидролаз, зависит от структуры агликона.

Г. с алифатич. и алициклич. агликонами устойчивы к действию р-ров щелочей, с ароматич. и нек-рыми гетероциклич. агликонами - неустойчивы. Так, щелочное расщепление1113-48.jpgD-глюкопиранозидов с ароматич. агликоном дает 1,6-ангидроглюкозу (левоглюкозан), что является препаративным методом синтеза последней.

Методы синтеза Г. основаны на нуклеоф. замещении при гликозидном центре восстанавливающих Сахаров и их производных. Кислотный алкоголиз Сахаров в избытке спирта приводит к смеси четырех изомерных Г. (1113-49.jpg и1113-50.jpgпиранозидов,1113-51.jpg и1113-52.jpgфуранозидов), где в состоянии равновесия преобладают пиранозиды. Конкретный состав смеси зависит от конфигурации углевода. Для стерео- и региоселективного синтеза Г. с определенной конфигурацией гликозидного центра и размером цикла применяют гликозилирование агликонов производными углеводов с активированным гликозидным центром и полностью защищенными спиртовыми гидроксилами.

В кач-ве гликозилирующих агентов чаще всего используют: ацилгликозилгалогениды (напр., ф-лы III), бензилгли-козилгалогениды, 5-членные циклич. ортоэфиры (напр., IV), производные пирувонитрила (напр., V), оксазолиновые производные (напр., VI).

Для синтеза арил-О-Г. применяют также сплавление полных ацетатов восстанавливающих Сахаров с фенолами в присут. сильнокислых катализаторов (метод Гельфериха). Прир. О-Г. выделяют гл. обр. из растений.
1113-53.jpg

К прир. О-Г. относятся сапонины, гликозиды сердечные , флавоноидные коферменты (напр., рутин), гликолипиды, гликопротеины, нек-рые антибиотики.

Хим. св-ва N-гликозидов сильно зависят от характера заместителей при атоме N. Алифатич. и ароматич. N-Г., содержащие при N атом водорода, подвергаются мутаротации (подобно восстанавливающим сахарам) вследствие таутомерного превращения в форму шиффовых оснований, напр.:
1113-54.jpg

Они легко подвергаются кислотному и щелочному гидролизу.

N-Гликозиламиды, в т.ч. N-гликозилмочевины, и соед., в к-рых гликозидный атом N включен в амидную структуру, не склонны к мутаротации и по устойчивости к гидролизу сходны с О-Г. Алифатич. и ароматич. Г., в к-рых гликозидный атом N обладает достаточно высокой основностью, подвергаются перегруппировке в 1-амино-1-дезоксикетозы (Амадори перегруппировка ).

Алифатич. и ароматич. N-Г. получают конденсацией восстанавливающих Сахаров с аминами; N-гликозиламиды и гликопептиды - восстановлением гликозилазидов с послед. N-ацилированием; нуклеозиды и их структурные аналоги-N-гликозилированием азотсодержащих гетероциклич. соединений ацилгликозилгалогенидами и их аналогами.

К прир. N-Г. относятся нуклеозиды, нуклеотиды, нуклеиновые к-ты, гликопротеины, нек-рые смешанные биополимеры, в к-рых гликозидная связь соединяет углеводные и пептидные цепи через амидный атом N остатка аспарагина. Многие N-Г. и структурные аналоги нуклеозидов, являясь антиметаболитами нуклеозидов, обнаруживают высокую физиол. активность и используются в кач-ве лек. препаратов, напр. фторафур, цитарабин.

Для S-гликозидов характерны специфич. св-ва, связанные с возможностью окислит.-восстановит. р-ций по атому S. К ним относятся гидрогенолиз над никелем Ренея, окислит. расщепление галогенами, окисление до сульфонов, образование из S-Г. гликозилгалогенидов. Гидролиз S-Г. в отличие от гидролиза О-Г. может протекать в мягких условиях в присут. солей Hg и Cd, что позволяет вести селективную р-цию, не затрагивая О-гликозидные связи молекулы. S-Г., аналогично ароматич. О-Г., получают конденсацией тиолятов щелочных металлов с ацилгликозилгалогенидами. Специфич. методы - конденсация ацилгликозилгалогенидов с тиомочевиной с послед. гидролизом тиурониевой соли и частичный гидролиз диалкилдитиоацеталей Сахаров, катализируемый солями Hg.

Лит.: Химия углеводов, М., 1967; Бочков А. Ф., Афанасьев В. А., Заи-ков Г. Е., Образование и расщепление гликозидных связей, М., 1978; Bochkov A. F., Zaikov G. Е., Chemistry of the O-glycosidic bond: formation and cleavage. Oxf.-N.Y., 1979. А.Ф. Бочков.



Поделитесь с друзьями:


Вы можете поставить ссылку на это слово:

будет выглядеть так: ГЛИКОЗИДЫ


будет выглядеть так: Что такое ГЛИКОЗИДЫ

Реклама:
Толковые словари и Энциклопедии. Словарь - ГЛИКОЗИДЫ - Химическая энциклопедия - Толковые Словари и Энциклопедии