Электронные словари и энциклопедии: Большой энциклопедический словарь, Словарь Даля, Словарь Ожегова и т.д.

Химическая энциклопедия
"ИЗОИНДОЛ"

Главная - Химическая энциклопедия - буква И - ИЗОИНДОЛ
Химическая энциклопедия
Искать!

ИЗОИНДОЛ (бензо[с]пиррол), ф-ла I, мол. м. 117,12; бесцв. кристаллы; устойчив при т-ре ниже — 77 °С, при комнатной т-ре легко разлагается. Из производных И. наиб. изучен N-метилизоиндол (т. пл. 90-91 °С), устойчивый только в инертной атмосфере; под действием УФ света флуоресцирует. Для И. и его производных, незамещенных по атому N, характерно наличие двух таутомерных форм, причем для И. равновесие сдвинуто влево.
161_180-33.jpg
И. представляет собой гетероароматич. соед., в к-ром сопряжение связей обеспечивается делокализацией 10p-электронов. Электроф. замещение И. и его производных (ацилирование, азосочетание, присоединение изоцианатов и др.) протекает в положение 1. Они вступают в р-цию диенового синтеза в качестве диена с N-фенилмалеинимидом, малеиновым ангидридом и др. напр.:
161_180-34.jpg
Эти р-ции обычно используются для идентификации малоустойчивых производных И. N-Метилизоиндол при гидрировании в присут. никеля Ренея превращ. в N-метилиндолин. Получают И. вакуумным пиролизом нек-рых производных изоиндолинов, в т. ч. аддуктов И. с диенофилами, напр.:
161_180-35.jpg
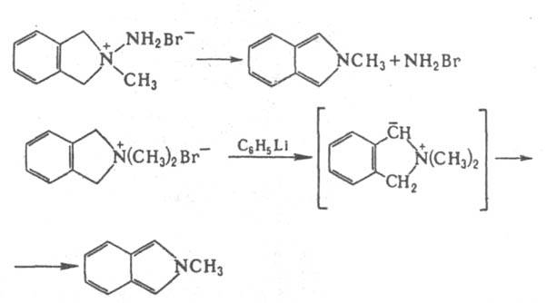
N-Метилизоиндол получают разложением солей изоиндолиния, напр.:
161_180-36.jpg
Изоиндольный цикл - фрагмент молекул фталоцианиновых красителей, прир. алкалоида изоборреверина и нек-рых термоустойчивых лестничных полимеров. Лит.: Иванский В. И., Химия гетероциклических соединений. М., 1978, с. 110; Бабичев Ф. С., Ковтунeнко В. А., Химия изоиндола, К., 1983. В. А. Ковтуненко.



Поделитесь с друзьями:


Вы можете поставить ссылку на это слово:

будет выглядеть так: ИЗОИНДОЛ


будет выглядеть так: Что такое ИЗОИНДОЛ

Реклама:
Толковые словари и Энциклопедии. Словарь - ИЗОИНДОЛ - Химическая энциклопедия - Толковые Словари и Энциклопедии