Электронные словари и энциклопедии: Большой энциклопедический словарь, Словарь Даля, Словарь Ожегова и т.д.

Химическая энциклопедия
"ИНДОЛЬНЫЕ АЛКАЛОИДЫ"

Главная - Химическая энциклопедия - буква И - ИНДОЛЬНЫЕ АЛКАЛОИДЫ
Химическая энциклопедия
Искать!

ИНДОЛЬНЫЕ АЛКАЛОИДЫ , содержат в молекуле ядро индола или его производных - дигидроиндола (ф-ла I), оксиндола (II), псевдоиндоксила (III), N-ацилиндола (IV).
221_240-24.jpg
Наиб. богаты ими растения семейств кутровых (Аросуnасеае), мареновых (Rubiaceae), логаниевых (Loganiaceae). Различают два осн. класса И. а. К первому, сравнительно малочисленному, относятся алкалоиды, содержащие одинаковые индолъные ядра. Чем сложнее структура этих в-в, тем реже они встречаются в природе. Напр., гарман (V) находится в растениях 10 семейств, коенигин (VI) обнаружен только в семействе Rutaceae, педункуларин (VII) - в семействе Elaeocarpaceae, нитрарин (VIII) - только в роде Nitraria семейства Zygophyllaceae.
221_240-25.jpg
Второй класс включает ок. 1200 представителей и характеризуется содержанием двух структурных единиц: индольной - остатки триптамина (IX) или триптофана (X), и монотерпеновой, образующейся из секологанина (XI; здесь и ниже Glu - остаток глутаминовой к-ты). Алкалоиды этого класса делят на восемь главных структурных типов. Алкалоиды со скелетом XI включают типы коринантеана (напр., коринантеин, XII), винкозана (винкозид, XIII), валлезиахотамана (антирин, XIV), стрихнана (акуамицин, XV), аспидосперматана (дихотин, XVI).
221_240-26.jpg 221_240-27.jpg
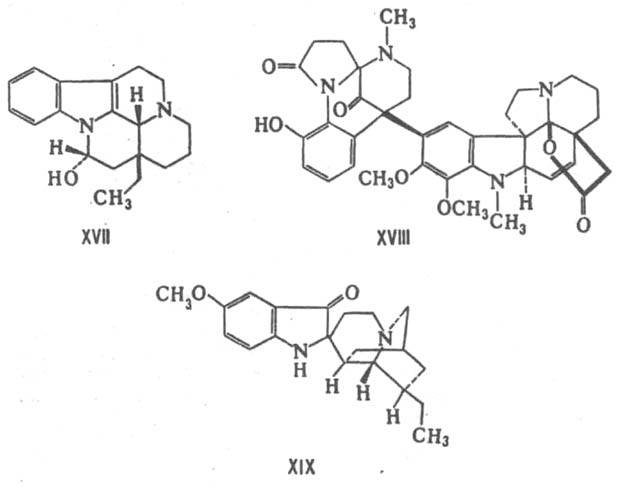
Алкалоиды с перегруппированной секологаниновои частью разделяют на типы эбурнана (напр., эбурнамин, XVII), плумерана (хаплофитин, XVIII) и ибогана (иболутеин, XIX).
221_240-28.jpg
Среди И. а. выделяют также группы: 1) ангидрониевых оснований, характеризующиеся мезомерией между биполярнобензоидной и хиноидной структурами, как, напр., в серпентинине (XX); 2) бимолекулярных И. а., включающих два индольных или два дигидроиндольных ядра (напр., С-дигидротоксиферин, XXI) либо два разных ядра - индольное и дигидроиндольное (катарин, XXII), псевдоиндольное и дигидроиндольное (винкатицин, XXIII). Осуществлен синтез большого числа И. а. Биогенетич. предшественник И. а. - триптофан (X). Под действием фермента стриктозидин-синтетазы (мол. м. 38000) конденсируется с XI с образованием стриктозидина (XXIV), к-рый служит общим промежут. звеном в биосинтезе всех И. а., в т. ч. винкамина (девинкана, XXV) и бревиколлина (XXVI).
221_240-29.jpg 221_240-30.jpg
Нек-рые И. а. широко используются в медицине в качестве транквилизаторов (напр., резерпин ), стимуляторов центр. нервной системы (стрихнин ), маточных (бревиколлин, XXVI),
221_240-31.jpg
антиаритмич. (аймалин )и гипотензивных (винкамин, XXV) ср-в, препаратов, снижающих внутриглазное давление (физостигмин ), и др. Мн. алкалоиды этой группы - яды, напр. бруцин , С-токсиферин-1. Лит.: Kisakurek М. V., Leeuwenberg A. J. M., Hesse M., в кн., Alkaloids: chemical and biological perspectives, ed. by S. W. Pelletier, v. 1, N. Y., 1983, p. 211-377; Scott A. J. [а.о.], "Heterocycles", 1981, v. 15, № 2, p. 1257-74. А. А. Ибрагимов.



Поделитесь с друзьями:


Вы можете поставить ссылку на это слово:

будет выглядеть так: ИНДОЛЬНЫЕ АЛКАЛОИДЫ


будет выглядеть так: Что такое ИНДОЛЬНЫЕ АЛКАЛОИДЫ

Реклама:
Толковые словари и Энциклопедии. Словарь - ИНДОЛЬНЫЕ АЛКАЛОИДЫ - Химическая энциклопедия - Толковые Словари и Энциклопедии