Электронные словари и энциклопедии: Большой энциклопедический словарь, Словарь Даля, Словарь Ожегова и т.д.

Химическая энциклопедия
"ИОДНОЕ ЧИСЛО"

Главная - Химическая энциклопедия - буква И - ИОДНОЕ ЧИСЛО
Химическая энциклопедия
Искать!

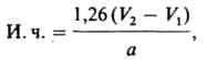
ИОДНОЕ ЧИСЛО , масса иода (в г), присоединяющегося к 100 г орг. в-ва. Характеризует степень ненасыщенности орг. соединений. Для определения И. ч. к р-ру анализируемого в-ва в СНСl3, ССl4 или ледяной СН3СООН приливают р-р Вr2, IВr или ICl; после завершения р-ции прибавляют избыток KI и титруют р-ром Na2S2O3 иод, выделившийся при взаимод. KI с непрореагировавшим Вr2 или др. реагентами. И. ч. рассчитывают по ф-ле:
241_260-10.jpg
где V2 и V1 - объемы (в мл) 0,1 М р-ра Na2S2O3, пошедшие на титрование соотв. в холостом опыте и в опыте с использованием Вr2 или др. реагентов, а - масса навески в-ва (в г). И. ч. для растит. масел 100-200, для твердых жиров 35-85, для жидких жиров 150-200, для ненасыщ. к-т 100-400. Лит.: Черонис Н. Д., Ма Т. С., Микро- и полумикрометоды органического функционального анализа, пер. с англ., М., 1973, с. 342. С. И. Обтемперанская.



Поделитесь с друзьями:


Вы можете поставить ссылку на это слово:

будет выглядеть так: ИОДНОЕ ЧИСЛО


будет выглядеть так: Что такое ИОДНОЕ ЧИСЛО

Реклама:
Толковые словари и Энциклопедии. Словарь - ИОДНОЕ ЧИСЛО - Химическая энциклопедия - Толковые Словари и Энциклопедии