Электронные словари и энциклопедии: Большой энциклопедический словарь, Словарь Даля, Словарь Ожегова и т.д.

Химическая энциклопедия
"ЖЕЛЧЕГОННЫЕ СРЕДСТВА"

Главная - Химическая энциклопедия - буква Ж - ЖЕЛЧЕГОННЫЕ СРЕДСТВА
Химическая энциклопедия
Искать!

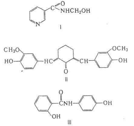
ЖЕЛЧЕГОННЫЕ СРЕДСТВА . Различают холеретические и холекинетические Ж. с. Первые увеличивают кол-во желчи гл. обр. вследствие повышения содержания в ней воды или усиления синтеза в печени солей желчных кислот (холатов). К этим Ж. с. относятся сами желчные к-ты (напр., дегидрохолевая) и содержащие их препараты (холензим, аллохол и др.), ряд синтетич. соед., напр., никодин (ф-ла I), циквалон (II), оксафенамид (III), феликур (1-фенилпропанол), а также в-ва растит. происхождения, содержащие флавоны, витамины и эфирные масла, - берберин , препараты бессмертника песчаного, кукурузы, плодов шиповника.
121_140-56.jpg
Холекинетические Ж. с. усиливают выделение желчи и ее поступление в кишечник благодаря специфич. раздражению слизистой оболочки 12-перстной кишки, в результате чего в кровь поступает гормон холецистокинин, вызывающий сокращение желчного пузыря и расслабление желчевыводящих путей. К холекинетич. ср-вам относятся магния сульфат , ксилит , маннит, сорбит , а также растит. масла, яичный желток и др. Ж. с. применяют при разл. заболеваниях печени, желчного пузыря и желчевыводящих путей. Г. Я. Шварц.



Поделитесь с друзьями:


Вы можете поставить ссылку на это слово:

будет выглядеть так: ЖЕЛЧЕГОННЫЕ СРЕДСТВА


будет выглядеть так: Что такое ЖЕЛЧЕГОННЫЕ СРЕДСТВА

Реклама:
Толковые словари и Энциклопедии. Словарь - ЖЕЛЧЕГОННЫЕ СРЕДСТВА - Химическая энциклопедия - Толковые Словари и Энциклопедии