Электронные словари и энциклопедии: Большой энциклопедический словарь, Словарь Даля, Словарь Ожегова и т.д.

Химическая энциклопедия
"ЖЕЛЧНЫЕ ПИГМЕНТЫ"

Главная - Химическая энциклопедия - буква Ж - ЖЕЛЧНЫЕ ПИГМЕНТЫ
Химическая энциклопедия
Искать!

ЖЕЛЧНЫЕ ПИГМЕНТЫ , красящие в-ва, входящие в состав желчи. Представляют собой четыре пиррольных ядра с разл. кол-вом и положением двойных связей и заместителей, линейно соединенных метиленовыми или метиновыми группами; структурно близки порфиринам и хлорофиллам. Цвет Ж. п. от желто-оранжевого до сине-зеленого. В организме человека и высших животных Ж. п. образуются в результате окислит. расщепления a-метиновой связи гема (простетич. группы гемоглобина) в печени и др. органах. Первичный продукт расщепления гема биливердин (ф-ла I; R = СН2СН2СООН), мол. м. 582, темные сине-зеленые кристаллы, т. пл. > 300 °С; плохо раств. в метаноле, хлороформе и эфире, lмакс 680 нм. При восстановлении биливердинредуктазой превращается в билирубин II (мол. м. 584), желто-оранжевые или коричневые кристаллы, при нагр разлагаются без плавления, плохо раств. в этаноле и эфире.
121_140-59.jpg
Дальнейшее восстановление соед. II бактериями в кишечнике приводит к смеси изомерных уробилинов (напр., соед. III, мол. м. 590; желтые кристаллы; т. пл. 177 °С; хорошо раств. в метаноле, этаноле, хлороформе, ацетоне, плохо в воде) и уробилиногенов, напр., бесцв. стеркобилиногена IV.
121_140-60.jpg
Восстановление билирубина в мягких условиях под действием HI в СН3СООН приводит к образованию бесцв. дипиррольных продуктов, к-рые после окисления КМnО4 дают оранжево-желтые изоксантобилирубиновую (V) и ксантобилирубиновую (VI) к-ты.
121_140-61.jpg
При обработке билирубина солями арилдиазония (р-ция Ван ден Верга) или HNO3 (р-ция Гмелина) также происходит расщепление молекулы с элиминированием центр. метиленового звена и образованием азопигментов; р-ции используют для количеств. определения билирубина. Билирубин и биливердин м. б. синтезированы конденсацией бромметилпирролинона VII с пирролом VIII с послед. окислением образовавшегося продукта или конденсацией пирролинона IX с пирролальдегидом X.
121_140-62.jpg
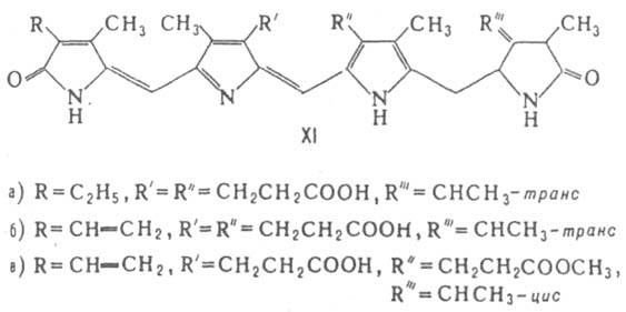
Ж. п. (преим. соед. I) содержатся также в желчи птиц, амфибий, включениях протоплазмы нек-рых простейших, губчатых кораллах (Helipova coerrulea); пигменты, похожие на соед. I, найдены в коже гусеницы капустницы и нек-рых др. видов бабочек. В синезеленых и красных водорослях содержатся хромопротеиды, простетические группы к-рых родственны Ж. п. Так, из пигмента синезеленых водорослей после гидролиза выделен фикоцианобилин ХIа, при расщеплении протеида красных водорослей в мягких условиях - пигмент фикоэритробилин XIб.
121_140-63.jpg
Фитихром ХIв встречается во всех высших растениях и водорослях, является важным фоторегулятором, контролирующим рост, развитие и зацветание растений. В организме Ж. п. - балластные продукты, выводимые с экскрементами и, частично, с мочой. Однако они, по-видимому, как и др. компоненты желчи, участвуют в переваривании жиров в кишечнике и стимулировании его перистальтики. В организме взрослого человека образуется до 280 мг Ж. п. в сутки. Нарушение выделения Ж. п. приводит к заболеванию желтухой, проявляющееся внешне в пожелтении кожных покровов и склер глаз. Лит.: Общая органическая химия, пер. с англ., т. 8, М., 1985, с. 377-82; Gray С. Н., The bile pigments, L. N. Y., 1953; Lemberg R., "Review of Pure and Applied Chemistry", 1956, v. 6, pt 1. p. 1 23; With Т. К., Bile pigments, N. Y. L., 1968; Scheurer P. J., Chemistry of marine natural products, N.Y.L, 1973, p. 140-41 Н. С. Вульфсон.



Поделитесь с друзьями:


Вы можете поставить ссылку на это слово:

будет выглядеть так: ЖЕЛЧНЫЕ ПИГМЕНТЫ


будет выглядеть так: Что такое ЖЕЛЧНЫЕ ПИГМЕНТЫ

Реклама:
Толковые словари и Энциклопедии. Словарь - ЖЕЛЧНЫЕ ПИГМЕНТЫ - Химическая энциклопедия - Толковые Словари и Энциклопедии