Электронные словари и энциклопедии: Большой энциклопедический словарь, Словарь Даля, Словарь Ожегова и т.д.

Химическая энциклопедия
"КРАСИТЕЛИ ПРИРОДНЫЕ"

Главная - Химическая энциклопедия - буква К - КРАСИТЕЛИ ПРИРОДНЫЕ
Химическая энциклопедия
Искать!

КРАСИТЕЛИ ПРИРОДНЫЕ , орг. соединения, к-рые вырабатываются живыми организмами и окрашивают животные и растит. клетки и ткани. В осн. соединения желтых, коричневых, черных и красных цветов разных оттенков, очень мало синих и фиолетовых, зеленые, как правило, отсутствуют. До 2-й пол. 19 в. К. п. - единств. в-ва для крашения текст. и парфюм. изделий, кожи, бумаги, пищ. продуктов и др. С развитием пром. орг. синтеза, особенно анилинокрасочной пром-сти, К. п. не выдержали конкуренции с красителями синтетическими и в осн. утратили былое практич. значение. В небольших кол-вах К. п. используют в реставрац. работах. Их применяют также в пищ. и парфюм. пром-стях, при исследованиях методами оптич. и электронной микроскопии в цитологии и гистохимии, в аналит. химии. Многие К. п. обладают значительной физиол. и антибиотич. активностью, вследствие чего их часто используют как лек. ср-ва. Нек-рые К.п. - регуляторы роста растений, а также сигнальные в-ва, привлекающие насекомых-опылителей и отпугивающие вредителей. К. п. широко распространены в природе и крайне многообразны. Часто в разл. прир. источниках встречаются одни и те же или близкие по строению К. п., поэтому наиб. целесообразно классифицировать их по типам хим. соединений. Алифатические и алициклические красители. Включают каротиноиды , обусловливающие желтую, оранжевую и красную окраски цветов и плодов. С удлинением цепи сопряженных двойных связей окраска углубляется. Среди К. п. этого ряда - углеводороды (здесь и ниже в скобках указан цвет кристаллов), напр. ликопин (красный), a-, b- и g-каротины (фиолетовый); спирты, напр. криптоксантин и ксантофил (желтый), зеаксантин (желтовато-красный); кетоны, напр. родоксантин (синевато-черный) и астицин (фиолетовый); кето-спирты, напр. кантаксантин и астаксантин (красный); альдегиды, альдегидоспирты и др. Встречаются каротиноиды в растит. и животном мире. Многие из них, напр. каротин, обладают высокой физиол. активностью, ретиналь (альдегид, образующийся из витамина А) входит в состав зрительного белка родопсина. К полиенам относится ряд антибиотиков (канацидин, пентамицин, трихомицин и др.), продуцируемых актиномицетами, гл. обр. разл. видами Streptomyces. Ароматические красители. В осн. это гидрокси- и алкокси-замещенные непредельные кетоны: 1) производные коричной и феруловой (4-гидрокси-З-метоксикоричной) к-т-4,4-дигидроксидициннамоилметан (желтый), 4-гидроксициннамоилферулоилметан (оранжевый) и диферулоилметан, или куркумин (оранжево-красный), встречающиеся в корнях куркумы (Curcuma longa, С. tinctoria), и др.; 2) производные халкона С6Н5СН=СНСОС6Н5 и хинонов-1,4-бензохинона, 1,4- и 1,2-нафтохинонов, антрахинона, а также антрона, напр. лавсон (ф-ла I) и юглон (II), выделенные соотв. из листьев хны (Lawsonia inermis) и из кожуры незрелых грецких орехов (Inglans regia), - желтые красители для шерсти и шелка; хризаробин (1,8-дигидрокси-З-метил-9-антрон) - желтый краситель бразильских видов древесины (напр., Andira araroba): эмодинантрон (1,6,8-тригидрокси-3-метил-9-антрон) - желтый краситель древесины жостера даурского (Rhamnus dahurica); гиперицин (III; R=СН3) и псевдогиперицин [III; R=СН(ОН)СН3] - темно-фиолетовый и темно-красный красители цветов зверобоя продырявленного (Hypericum perforalum), обладающие способностью убивать микроорганизмы и простейшие даже при слабом УФ облучении. В природе многие из этих красителей встречаются в виде гликозидов.
481_500-23.jpg
Многие ароматич. К. п. обладают физиол. активностью, напр. куркумин, коферменты типа убихинона (2,3-диме-токси-5-метил-6-полиизопренил-1,4-бензохиноны), витамины группы К - противовоспалит. действием. К частично гидрированным ароматич. К. п. относятся антибиотики группы тетрациклина и хромомицина, окрашенные в желтый цвет. Нек-рые из красителей этого ряда все еще применяют для крашения; напр., в реставрац. работах используют ализарин- осн. красящее в-во краппа, или марены красильной (Rubia tinctorum), содержащее также пурпурин (1,2,4- тригидроксиантрахинон) - красный краситель, к-рый применяют в гистохимии для выявления Са в замороженных средах, а также как реактив на В и F- в аналит. химии: картамин (2,3,4,4,6-пентагидроксихалкон) - желтый краситель пыльцы цветов сафлора красильного (Carthamus tinctorius); кармин, выделяемый из кошенили (самок насекомых кактусовая ложнощитовка; Coccus cacti) и применяемый в пищ. и парфюм. пром-стях. Действующее начало кармина - карминовая к-та (гликозид тетрагидроксикарбоксиантрахинона; IV); ее применяют в цитологии.
481_500-24.jpg
Гетероциклические красители. Кислородсодержащие гетероциклы. Известны К.п., содержащие фурановый цикл, напр. понгамол (4-метокси-5-бензоилацетилоензофуран), выделенный, напр., из масла семян пенгамии гладкой (Pongamia glabra). К производным дигидрофурана относятся: лактон пульвиновой к-ты (V; R=Н) - светло-желтый краситель лишайника рода стикта (Sticta coronata) и др.; салицин (V; R=2-ОН) - оранжево-красный краситель лишайника рода калициум (Calicium chrysocephalum); имеются также производные аурона (VI), напр. лептозидин (З,4,6-трипидрокси-7-метоксиаурон), выделенный в виде оранжево-красного глюкозида (лептозина) из цветов кореопсиса крупноцветкового (Coreopsis grandiflora).
481_500-25.jpg
наиб. широко представлены желтые К. п.-гидрокси-, метокси- и метилендигидроксипроизводные 4-хромона и хромена. К ним относятся флавоноиды - производные флавона (VII; R=Н), флавонола (VII; R=ОН), флаванона (VIII; R=Н) и флаванонола (VIII; R=ОН), изофлавона (IX), а также антоцианидины (X), окрашивающие цветы, ягоды, плоды и овощи в красный, фиолетовый, синий и черный цвета. В природе флавоноиды существуют в виде агликонов и гликозидов, антоцианидины - только в виде гликозидов (антоцианов). Многие из них обладают антимикробным действием, а кверцетин , его 3-О-рамнозид (кверцитрин) и 3-О-рамноглюкозид (рутин) относятся к группе витамина Р. Гликозид датистицина (2,3,5,7 - тетрагидроксифлавона) используют, напр., для окраски эритроцитов и тромбоцитов, а также возбудителей сибирской язвы, стафилококкоза и др. заболеваний у с.-х. животных при исследованиях методами микроскопии.
481_500-26.jpg
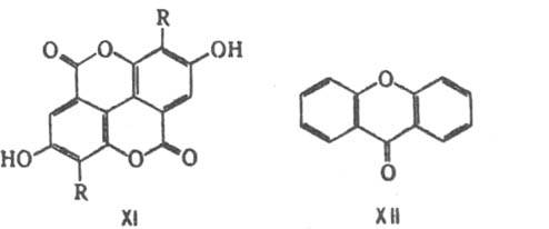
Среди К. п. зтой группы имеются: производные кумарина, такие, как эллаговая к-та (XI; R=ОН), широко распространенная в древесине мн. пород, напр. квебрахо Колорадо (Quebracho Colorado), и ее диметиловый эфир (XI; R=ОСН3), встречающийся в корнях рода молочая (Euphorbia formosana), и др.; производные ксантона (XII) - красители желтого цвета, напр. гентизин (1,7-дигидрокси-З-метокси-ксантон), раневелин (1,4,8-тригидрокси-З-метилксантон).
481_500-27.jpg
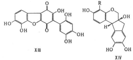
К этой группе К. п. относятся также телефоровая к-та (XIII) - черно-фиолетовый краситель мн. видов грибов Thelephora, бразилин (XIV; R=Н) и гематоксилин (XIV; R=ОН), выделенные из древесины разл. видов красного дерева (Caesalpinia species) и кампешевого дерева (Haematoxylum campechianum). Эти бесцв. в-ва при крашении хлопка по алюминиевой протраве дают синевато-красные и фиолетовые окраски. Гематоксилин (на его основе созданы красящие р-ры специфич. действия) применяют также для цитологич. диагностики рака.
481_500-28.jpg
Азотсодержащие гетероциклы. К производным индола относятся наиб. древние К.п. -индиго и пурпур античный. Производные пиррола включают три важные группы красителей: 1. Красный пигмент эритроцитов крови гемоглобин- железосодержащий комплекс протопорфирина IX (XV; R=R=СН=СН2) и белка глобина. В природе встречается ряд аналогов протопорфирина IX; наиб. близки ему по строению хлорокруопорфирин (XV; R=СНО, R=CH=CH2) - простетич. группа пигмента хлорокруорина, содержащегося в крови червей Spirographis, и мсзопорфирин IX (XV; R=R=C2H5), встречающийся в амбре. 2. Пигменты зеленых частей растений, содержащиеся в хлоропластах наряду с каротиноидами (в соотношении 3:1), - сине-зелeный хлорофилл а (XVI; R=СН3) и желто-зеленый хлорофилл б (XVI; R=СНО), играющие важную роль в процессах фотосинтеза (см. Хлорофиллы ). Кроме того, в растениях содержится также протохлорофилл а (кольцо
481_500-29.jpg
А в ф-ле XVI дегидрировано). К порфириновой группе пигментов относится и витамин В12. 3. Желчные пигменты, типичными представителями к-рых являются билирубин (XVII; R=СН=СН2), мезобилирубин (XVII; R=С2Н5), уробилин (см. Желчные пигменты ). К производным феназина относятся 1-гидроксифеназин (гемипиоцианин), феназин-1-карбоновая к-та (желтые), 1-оксо-5-метил-1,2-дигидрофеназин (темно-синий), синтезируемые бактерией из рода Pseudomonas, и 1,6-дигидроксифеназин-5,10-диоксид, или иодинин (красный), вырабатываемый бактерией из рода Chromobacterim. К производным феназина относится также витамин В2 (см. Рибофлавин ). Производные птеридина (XVIII; R=R=Н) - широко распространенные пигменты, содержащиеся в крыльях бабочек и птиц, напр. ксантоптерин (XVIII; R=Н, R=ОН), хризоптерин (XVIII; R=СН3, R=ОН) - желтые пигменты, эритроптерин [XVIII; R=С(ОН)=С(ОН)СН2ОН, R=Н] - красные.
481_500-30.jpg
О коричневых и черных полимерных пигментах, к-рые распространены в животных и растит, тканях и определяют окраску кожных покровов, волос, перьев, чешуи, кожуры плодов и др., см. Меланины . Лит.: Б а рабой В. А., Биологическое действие растительных фенольных соединений, К., 1976; Фрайштат Д. М., Реактивы и препараты для микроскопии, М., 1980; Голикoв В. П., Природные органические красители музейных текстильных изделий, М., 1981; The chemistry of plant pigments, ed. by C.O.Chichester. N.Y.-L., 1972; The flavonoids, ed. by J.B.Harborne, T.J.Mabry, J.Mabry, L, 1975; The flavonoids: advance in research, ed. by J.B.Harborne, TJ.Mabry, N.Y., 1982; Brit ton S., The biochemistry of natural pigments, Camb., 1983. H. С. Вульфсон.



Поделитесь с друзьями:


Вы можете поставить ссылку на это слово:

будет выглядеть так: КРАСИТЕЛИ ПРИРОДНЫЕ


будет выглядеть так: Что такое КРАСИТЕЛИ ПРИРОДНЫЕ

Реклама:
Толковые словари и Энциклопедии. Словарь - КРАСИТЕЛИ ПРИРОДНЫЕ - Химическая энциклопедия - Толковые Словари и Энциклопедии