Электронные словари и энциклопедии: Большой энциклопедический словарь, Словарь Даля, Словарь Ожегова и т.д.

Химическая энциклопедия
"КРАСИТЕЛИ СИНТЕТИЧЕСКИЕ"

Главная - Химическая энциклопедия - буква К - КРАСИТЕЛИ СИНТЕТИЧЕСКИЕ
Химическая энциклопедия
Искать!

КРАСИТЕЛИ СИНТЕТИЧЕСКИЕ , орг. соединения, используемые для крашения различных (преим. волокнистых) материалов и изделий. Представляют собой гл. обр. окрашенные соед., нек-рые бесцветные соед., напр. отбеливатели оптические , а также соед., из к-рых красители образуются после нанесения на окрашиваемый материал, напр. азогены, фталоцианогены, кубогены, исходные в-ва для окислит. крашения. Цвет красителя обусловлен наличием в его молекуле хромофорной системы - достаточно развитой открытой или замкнутой системы сопряженных кратных связей и связанных с ней электронодонорных и (или) электроноакцепторных заместителей (см. Цветность органических соединений ). Кроме того, в молекулах красителей могут содержаться заместители, придающие им разл. св-ва, напр.: способность растворяться в водных (SO3H, COOH, аммониевые или др. ониевые группы) или неводных (додецил, тpeт -бутил или др. алкил) средах; образовывать внутрикомплексные соед. с металлами (напр., группы ОН и СООН в opтo -положении друг к другу); химически связываться с окрашиваемым материалом (остаток моно- или дихлортриазина, группа SO2CH2CH2OSO3H и др.). К. с. должны образовывать окраски, устойчивые к разл. физ.-хим. воздействиям в процессах послед. переработки окрашенных материалов и при их эксплуатации, напр. к обработке горячей водой (заварка) и насыщ. паром (декатировка), к действию активного хлора, высоких т-р (в расплавах полимеров), света, морской воды, к погодным условиям, стирке, глажению, поту, трению в сухом и мокром состояниях. Эти св-ва оцениваются по пятибалльной шкале, только прочность к свету - по восьмибалльной. Набор требований, предъявляемых к красителю, определяется назначением и способом произ-ва окрашенного материала. Помимо устойчивости к разл. воздействиям, К. с. характеризуют также по ровноте окрасок, чистоте их оттенка.
Историческая справка В течение мн. веков для крашения тканей, изготовления косметич. препаратов, а позднее и художеств, красок применяли красители природные-ализарин, индиго, кармин и др. (всего ок. 30). В 1771 действием HNO3 на индиго получен первый К.с. - пикриновая к-та; в 1843 ее получили из более доступного сырья - фенола, что позволило в 1849 начать произ-во к-ты для крашения шелка. Возникновение пром-сти К. с. стало возможным лишь после открытия Н.Н. Зининым (1842) универс. метода получения анилина и др. ароматич. аминов (см. Зинина реакция ). В 1855 Я. Натансон получил из анилина красный К. с., вторично открытый в 1859 Э. Вергеном и названный фуксином (цвет фуксии). В 1856 У. Перкин-старший синтезировал розоватолиловый мовсин (цвет мальвы). Огромная заслуга Псркина в том, что он оценил практич. значение своего открытия и уже через год начал пром. произ-во мовеина, а также нитробензола и анилина, необходимых для его произ-ва. Год 1856 считается датой возникновения пром-сти К. с., названной анилинокрасочной. В 1858 П. Грисс открыл р-цию диазотирования , а в 1864 - азосочетания , что привело к синтезу азокрасителсй. В 1869 К. Гребе и К. Либерман осуществили синтез ализарина, с к-рого началось произ-во антрахиноновых К. с.; в развитии его большую роль сыграл каталитич. способ получения 1-антрахинонсульфокислоты, открытый М.А. Ильинским. В 1880 А. Байер синтезировал индиго, пром. произ-во к-рого началось в 1896, после чего последовал синтез др. индигоидных К. с. В 1873 открыты сернистые К. с., а с 1893 организовано их пром. получение. В 1901 получен первый синтетич. кубовый краситель индантрон, в 1903 налажено произ-во полиметиновых К. с., в 1936 - фталоцианиновых. К нач. 20 в. К. с. почти полностью вытеснили прир. красители. Крупнейшие достижения после 2-й мировой войны - выпуск активных и дисперсных К. с. Общее число известных К. с. составляет св. 6500, а производимых в мире - ок. 1500. До 1914 монополистом в области произ-ва К. с. была Германия, на долю к-рой (вместе с филиалами ее фирм за рубежом) приходилось ок. 90% мирового прoиз-ва, равного 150,3 тыс. т/год. В СССР анилинокрасочная пром-сть создана в годы первой пятилетки при активном участии видных ученых - Н.Н. Ворожцова-старшего, В. М. Родионова, М.А. Ильинского, А. Е. Порай-Кошица, В. А. Измаильского, Р. К. Эйхмана и др. К 1937 крупные пром. произ-ва К. с. организованы в 18 странах, и потребление красителей достигло 235 тыс. т/год. В 80-х гг. 20 в. произ-во К. с. составило 770-860 тыс. т/год, причем 70% этого кол-ва приходится на долю США, ФРГ, СССР, Японии, Англии, Швейцарии и Франции. Термин "краситель" введен в 1908 А. Е. Порай-Кошицем.
Номенклатура Красители выпускают в продажу обычно под торговыми названиями. За рубежом-это фирменные назв., защищенные патентами. Поэтому часто одинаковые по хим. строению К. с. разные фирмы выпускают под разл. названиями. Перечень выпущенных на рынок красителей с указанием фирмы-изготовителя, св-в и, если известно, строения приводятся в справочнике Colour Index. В основе отечеств, номенклатуры лежит техн. классификация К. с. (см. раздел "Классификация"). Первое слово в названии К. с. определяет принадлежность к классу или группе по техн. классификации (напр., прямой, кислотный, катионный, жирорастворимый, пигмент), второе - цвет красителя (желтый, сине-черный, чисто-голубой, ярко-красный и т.п.). Затем могут перечисляться наиб. важные св-ва красителя (напр., светопрочный, прочный) или указывается его принадлежность к классу по хим. классификации (напр., антрахиноновый, фталоцианиновый), а также специфич. области применения (для кожи, меха и т.п.). После слов в необходимых случаях вводят буквы, указывающие на оттенок окраски: Ж,К,С,3,О - соотв. желтоватый, красноватый, синеватый, зеленоватый, основной оттенок данного цвета; цифры перед буквами означают более резко выраженный оттенок (напр., красный 2С имеет более синеватый оттенок, чем красный С). Др. буквы указывают на особые св-ва красителя. Так, "X" в назв. прямых К. с. означает, что устойчивость окраски к стирке м. б. повышена обработкой солями хрома, а в назв. кубовых и активных - что крашение можно производить по т. наз. холодному способу (при пониж. т-ре 30-40 °С), "М" в назв. прямых, кислотных и дисперсных К. с. указывает, что они являются комплексами металлов (Сu, Со или др.), в назв. кубовых - что они предназначены для крашения меха, в назв. лаков - что это соли марганца. Для нек-рых К. с. сохранились традиц. назв., напр. индиго, ализарин, сафранин.
Классификация Существуют техн. (по областям применения) и хим. (по хим. строению) классификации К. с. Первой пользуются в практич. работе - при применении и определении потребностей в данной группе К. с., при планировании и статистич. отчетности, второй - при изучении химии и технологии красителей.
Техническая классификация учитывает св-ва красителей, природу окрашиваемых материалов, способы крашения, характер связи красителя с субстратом. По р-римости К. с. делят на водорастворимые, нерастворимые в воде, нерастворимые в воде и орг. р-рителях и р-римые в орг. средах. К последним относятся ацетонорастворимые красители , жирорастворимые красители , спирторастворимые красители . Кводорастворимым относятся кислотные, основные, протравные, прямые, активные К. с. Кислотные красители - гл. обр. соли сульфокислот, реже - карбоновых, а также анионные комплексы нек-рых красителей с металлами, преим. с Сr и Со; основные красители - соли орг. оснований. В водных р-рах кислотные К. с. диссоциируют с образованием цветных анионов, основные - цветных катионов. Обладают сродством к субстратам амфотерного характера (шерсть, натуральные шелк и кожа, синтетич. полиамиды); основные К. с., применяемые для крашения полиакрилонитрильного волокна (наз. катионными красителями) обладают сродством к субстратам кислотного характера. Окрашивают из водных р-ров, вступая в солеобразование с имеющимися в молекулах указанных субстратов основными или кислотными группами соответственно. Удерживаются на субстрате гл. обр. с помощью ионных связей. К целлюлозе сродства не имеют, но основные К. с. могут окрашивать целлюлозные материалы после предварит. обработки их ("протравления") в-вами кислотного характера, напр. таннинами, фенольными смолами (т. наз. крашение по танниновой или др. протравам). Протравные красители содержат заместители, способные образовывать устойчивые комплексы с металлами. Не обладают достаточным сродством к целлюлозе, но закрепляются на ней по "протраве" солями металлов (напр., Сr3+, Al3+, Fe2+) вследствие образования нерастворимых внутрикомплексных соед. (протравные К. с. для хлопка). При наличии кислотных групп обладают сродством к субстратам амфотерного характера и окрашивают их подобно кислотным К. с., причем при обработке солями металлов (гл. обр. Сr3+ ) также образуется комплекс (протравные для шерсти, или хромовые К. с.). Прямые красители - соли сульфокислот. В водных р-рах диссоциируют с образованием цветных анионов, обладающих сильно выраженной способностью к ассоциации. Обладают сродством к целлюлозным материалам и окрашивают их из водных р-ров в присут. электролитов (NaCl, Na2SO4 или др.) без протравы. Удерживаются на целлюлозных волокнах силами Ван-дер-Ваальса и водородными связями. Активные красители содержат в молекулах группы, способные в процессе крашения реагировать с ОН-, NH2- и др. группами окрашиваемых субстратов, образуя с ними устойчивые ковалентные связи. Окрашивают целлюлозные, белковые и синтетич. полиамидные материалы. К нерастворимымвводе относятся кубовые, сернистые, дисперсные (к-рые м. б. и слаборастворимыми) К. с., к нерастворимым в воде и орг. средах - пигменты органические и лаки (напр., лаки основные ), представляющие собой нерастворимые соли или внутрикомплексные соед. р-римых красителей; цвет и оттенок пигмента (лака) зависят не только от хим. природы, но и от структуры кристаллич. решетки и размеров частиц. Кубовые красители содержат в молекуле две сопряженные друг с другом карбонильные группы; в щелочной среде восстанавливаются, напр. действием Na2S2O4, с образованием р-римых солей (см. Лейкосоединения ), обладающих сродством к целлюлозным материалам. После крашения лейкосоединения под действием воздуха (О2+СО2) переходят в исходный нерастворимый краситель, закрепляющийся в микропорах субстрата. Сернистые красители аналогично кубовым при применении восстанавливаются под действием Na2S в щелочной среде в р-римые лейкосоединения, обладающие сродством к целлюлозным материалам. Дисперсные красители окрашивают ацетаты целлюлозы и синтетич. гидрофобные, гл. обр. полиэфирные, материалы из водных дисперсий. При крашении образуют твердый р-р в субстрате; удерживаются силами Ван-дер-Ваальса и водородными связями. Растворимые производные нерастворимых К. с.- кубозоли , тиозоли, цианалы- производные соотв. кубовых, сернистых, фталоцианиновых К. с. Их выпускают для упрощения процессов крашения и расширения областей применения. Обладают св-вами растворимых К. с. (прямых - кубозоли и тиозоли, основных - цианалы). После крашения кубозоли и тиозоли превращ. на субстрате в исходные нерастворимые в воде соотв. кубовые и сернистые красители, цианалы - в нерастворимые производные фталоцианиновых красителей. Особую группу представляют нерастворимые К. с., синтезируемые в процессе крашения непосредственно на субстратах из промежут. продуктов - азогенов , компонентов для окислит. крашения (чаще всего ароматич. амины, диамины и аминофенолы или их смеси), кубогенов , фталоцианогенов , образующих соотв. азокрасители, ариламиновые (гл. обр. азиновые), кубовые и фталоцианиновые красители.
Химическая классификация. До недавнего времени строгой хим. классификации К. с. не существовало, т. к. в ее основе лежало неск. разных принципов: близость хим. строения, сходство методов получения и применения, наличие определенных структурных группировок. В приведенной ниже классификации использован принцип общности хромофорных систем, к-рые м. б. легко выделены из общей структуры соединения. Такой подход, не меняя по существу общепринятых хим. классов красителей, позволяет логически расположить их в определенной последовательности. У полиметиновых красителей (см. Метиловые красители) хромофорная система состоит из цепи свободных или замещенных метиновых групп с электронодонорным и электроноакцепторным заместителями на концах, причем заместители и часть метиновых групп могут входить в состав ароматич. или гетероциклич. остатков, напр. краситель катионный розовый 2С (ф-ла I). Хромофорная система антроновых красителей построена из шести и более конденсир. ароматич. колец с двумя сопряженными электроноакцепторными заместителями (карбонильные группы); таковы дибензопиренхинон (II), антантрон, пирантрон, виолантрон (III), изодибензантрон, образующие отдельные группы полициклич. кубовых красителей. Для хромофорных систем нитрокрасителей и нитрозо-красителей характерно наличие ароматич. ядра с к.-л. электронодонорным заместителем и соотв. нитрогруппой (как в дисперсном желтом прочном 2К; IV) или нитрозогруппой (V).
481_500-31.jpg
Хромофорная система арилметановых красителей - мезомерный катион:
481_500-32.jpg
Противоион А- (напр., SO-3 или СОО-) м.б. также ковалснтно связан с молекулой красителя. Если R - неароматич. остаток, красители наз. диарилметановыми, напр. аурамин (VI; R=СН3, R= NH2), если ароматический -триарилметановыми, напр. малахитовый зеленый (R=СН3, R=С6Н5). Отдельные группы арилметановых К.с. - ксантеновые красители (напр., ф-лы VII; X=О) и акридиновые красители (VII; X = NH); особую подгруппу последних составляют хинакридоновые пигменты. Хромофорная система антрахиноновых красителей - ядро антрахинона, содержащее в бензольных кольцах не менее одного электронодонорного заместителя, напр. катионный синий 4К [VIII; R=CH3, R=(CH2)2N(C2H5)2CH3 (CH3SO-4], кислотный зеленый антрахиноновый [VIII; R=R=4-CH3-2-(HSO3)C6H3].
481_500-33.jpg
Хромофорная система хинонимовых красителей - мезо- мерный катион, напр., как в зеленом Биндшедлера (IX).
481_500-34.jpg
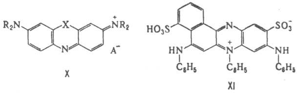
В отдельных группах хинониминовых К. с. ароматич. остатки в орто , орто-положениях к центр. атому N связаны гетероатомами - это оксазиновые красители (ф-ла X, X=О), тиазиновые (X; X=S) и диазиновые К. с. (X; X=NH; см. Азиновые красители ). Противоион А- может образовывать с молекулой красителя ковалентную связь, как в кислотном темно-голубом (XI).
481_500-35.jpg
К диазиновым К. с. относятся синие индулины, черные нигрозины и продукты окисления анилина - полидназиновые красители - пигмент глубоко-черный и анилиновый черный . Хромофорные системы азометиновых красителей и самого многочисленного по числу представителей класса К. с. - азокрасителей - содержат одну или неск. соотв. азометиновых групп 481_500-36.jpg и азогрупп —N=N—, напр. оранжевый дисазометиновый краситель (XII) и моноазо-краситель жирорастворимый желтый Ж (XIII).
481_500-37.jpg
В молекулах формазановых красителей (см. Формазаны ) хромофорная система включает сопряженные азо- и гидразогруппировки:
481_500-38.jpg
Эти К. с. применяют гл. обр. в виде комплексов с металлами, напр. XIV-оливковый краситель. В хромофорной системе индигоидных красителей имеется один или два гетероциклич. остатка, в большинстве случаев индола или бензотиофена; она отличается отчетливо выраженной способностью к внутримол. поляризации (ионизации), обусловливающей достаточно глубокий цвет при сравнительно малой цепи сопряжения, напр. синий у индиго (XV; X=NH), синевато-красный у тиоинднго красного С (XV; X=S). Имеются К. с., хромофорные системы к-рых состоят из гетероциклов, конденсированных с ядром антрахинона или антрона - антрахиноназоловые, нафтоакридоновые, нафтохиноксалиновые, антрапиридоновые, бензоперимидиновые, пиразолантроновые и мн. другие (см. Полициклические кубовые красители ). Хромофорные системы периноновых красителей включают пери -ариленовые остатки, конденсированные с гетероциклами, напр. дисперсный желтый 43 ПЭ (XVI; X=Н, R =С6Н5СО), капрозоль желтый 43 (XVI; X=Cl, R=Н).
481_500-39.jpg
Хромофорная система макрогетероциклических красителей , из к-рых наиб. важны фталоцианиновые, построена из ароматич. или гетероциклич. остатков, связанных в единый макрогетероцикл мостиками из атомов С или гетероатомов. В осн. красители этого класса применяют в виде комплексов с металлами.
Производство, выпускные формы, применение Произ-во К.с.- отрасль пром-сти тонкого орг. синтеза. К. с. получают в результате проведения многостадийного хим. синтеза из промежуточных продуктов, производимых, в свою очередь, из ароматич. и гетероароматич. соед., вырабатываемых угле- и нефтехим. пром-стью. Часто из одного промежут. продукта получают несколько К. с. Промежут. продукты, кроме того, широко используют для произ-ва лек. в-в, пестицидов, ростовых в-в и мн. др. продуктов. Как правило, произ-во промежут. продуктов организовано на заводах, к-рые вырабатывают К. с. Для пром-сти К. с. характерны: многоассортиментность (большое число марок К. с.), малотоннажность отдельных произ-в, многостадийность получения большинства красителей (иногда 10 и более стадий). Это затрудняет механизацию и автоматизацию произ-ва и, следовательно, улучшение экономич. показателей. Осн. пути прогресса в пром-сти К. с.: разработка для каждого вида крашения триад К. с. (желтый - пурпурный - голубой), смешением к-рых по данным расчета цветности на ЭВМ можно получить смесовые марки К. с. любых цветов и оттенков; организация гибких произ-в, позволяющих с помощью небольшого числа аппаратов повыш. мощности производить широкий ассортимент продукции; изыскание возможностей использования одних и тех же промежут. продуктов для синтеза возможно большего числа К. с. и применения в качестве промежут. продуктов соединений, производимых для синтеза лек. в-в, пестицидов, фотоматериалов и др. Полученные в результате хим. синтеза К. с. обычно мало пригодны для непосредств. применения в крашении и особенно в печатании. Чтобы красители были удобны в применении и для повышения степени их использования (напр., исключение мех. потерь, более полная выбираемость из красильных ванн) из них готовят выпускные формы. Это стандартизов. товарные формы, в к-рых К. с. поступают потребителям; кроме красителя, взятого в строго определенной концентрации, в их состав входят разл. вспомогат. в-ва. Осн. выпускные формы: непылящие порошки, содержащие краситель, ингибитор пыления (напр., авиац. или трансформаторное масло, силоксановая жидкость либо дибутилфталат; в кол-ве обычно ок. 1,5%), диспергатор, смачиватель (для нерастворимых в воде), соль минер, к-ты - обычно NaCl, Na2SO4 или Na2CO3 (для водорастворимых), стабилизатор и др.; гранулы, содержащие краситель, связующее, диспергатор, смачиватель; пасты, содержащие краситель, смачиватель, диспергатор, антифриз; жидкости - р-ры красителей гл. обр. в воде, реже в орг. р-рителях. На основе одного и того же К. с. может быть приготовлено неск. выпускных форм. Так, прямые, кислотные, протравные и активные К. с. производят в виде непылящих порошков, реже гранул и жидкостей, кубозоли - в виде непылящих порошков, катионные - в виде р-ров и непылящих порошков. Применяют К. с. для крашения волокон и разл. текстильных материалов, кожи, мехов, бумаги, древесины и др.; р-римые в орг. средах К.с. - для окрашивания бензинов, парафина, спиртов, восков, растит. жиров, синтетич. волокон при получении их формованием в массе, пластмасс, резин. К. с. используют также в цветной и черно-белой кинематографии и фотографии, в электрофотографии ана-лит. химии, в медицине (ср-ва диагностики, при биохим. исследованиях), в жидкостных лазерах, в разл. физ. приборах в качестве полупроводников и элементов, обладающих фотопроводимостью и нек-рыми др. св-вами, как катализаторы. О применении К. с. см. Крашение бумаги , Крашение древесины , Крашение кожи . Крашение меха , Крашение волокон и т. п., Печатание тканей . Лит.: Венкатараман К., Химия синтетических красителей, пер. с англ., т.1-6, Л., 1956-77; Аналитическая химия синтетических красителей, пер. с англ., Л., 1979; Эфрос Л.С, Горелик М.В., Химия и технология промежуточных продуктов, Л., 1980; Чекалин М.А., Пассет Б. В., Иоффе Б. А., Технология органических красителей и промежуточных продуктов, 2 изд.. Л., 1980; Степанов Б. И., Введение в химию и технологию органических красителей, 3 изд., М., 1984; Гордон П., Грегори П., Органическая химия красителей, пер. с англ., М., 1987; Лисицын В. Н., Химия и технология промежуточных продуктов, М., 1987; Colour index, 3 ed., Bradford, 1971. В. И. Степанов.



Поделитесь с друзьями:


Вы можете поставить ссылку на это слово:

будет выглядеть так: КРАСИТЕЛИ СИНТЕТИЧЕСКИЕ


будет выглядеть так: Что такое КРАСИТЕЛИ СИНТЕТИЧЕСКИЕ

Реклама:
Толковые словари и Энциклопедии. Словарь - КРАСИТЕЛИ СИНТЕТИЧЕСКИЕ - Химическая энциклопедия - Толковые Словари и Энциклопедии