Электронные словари и энциклопедии: Большой энциклопедический словарь, Словарь Даля, Словарь Ожегова и т.д.

Химическая энциклопедия
"МЕЗИТИЛА ОКИСЬ"

Главная - Химическая энциклопедия - буква М - МЕЗИТИЛА ОКИСЬ
Химическая энциклопедия
Искать!

МЕЗИТИЛА ОКИСЬ (4-метил-3-пентен-2-он, изопропили-денацетон) (СН3)2С=СНСОСН3, мол.м. 98,14; бесцв. жидкость с медовым запахом; т.пл. — 52,8°С, т.кип. 129,8°С; d420 0,8653; nD20 1,4440; хорошо раств. в орг. р-рителях, плохо-в воде (3,4%); образует азеотропную смесь с водой (т. кип. 91,8 °С, 5,2% М.о. по массе). Содержит ок. 6% таутомерного спирта (СН3)2С=СНС(ОН)=СН2.

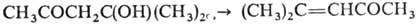
М.о. присоединяет по двойной связи галогены, HCN, НСlО, амины, воду и др., напр.:

3003-10.jpg

В присут. оснований реагирует с малоновым эфиром с образованием димедона. Вступает в р-цию Фриделя - Крафтса:

3003-11.jpg

Восстановление Li в жидком NH3 приводит к метилизобу-тилкетону и метилизобутилкарбинолу, а восстановление на ртутном катоде-к 4,4,5,5-тетраметил-2,7-октандиону [СН3СОСН2С(СН3)2]2.

При нагр. с разбавленными к-тами и щелочами гидроли-зуется в ацетон. Присоединяет 2 молекулы NaHSO3-пo двойной связи и по СО-группе. В присут. СаО или ВаО самоконденсируется:

3003-12.jpg

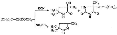
При кипячении с водно-спиртовым р-ром KCN в присут. (NH4)2CO3, а также с гидразином образует гетероциклы:

3003-13.jpg

В пром-сти М. о. получают дегидратацией диацетонового спирта в присут. иода, минер. к-т, хлоридов и бромидов железа и др. при 100-120 °С и 100 кПа с выходом 95%:

3003-14.jpg

М. о. получают также прямой конденсацией ацетона в присут. минер. к-т, катионообменных смол, Аl2О3 и др.

Идентифицируют М.о. по ее производным: 2,4-динитро-фенилгидразон имеет т.пл. 205-206°С; оксим существует в двух формах-лабильная а-форма, т. кип. 84°С/11 мм, устойчивая р-форма, т. пл. 49 °С, т. кип. 92 °С/9 мм; семи-карбазон имеет также две формы: а, т.пл. 164°С, и (3, т.пл. 133-134°С; а-форма переходит в р при нагр. гидрохлорида, а b-форма-в a при действии щелочи.

Применяют М. о. как р-ритель эфиров целлюлозы и поливиниловых смол; в качестве полупродукта в произ-ве лек. ср-в, инсектицидов, высыхающих масел; как экстрагент для актиноидов (торий, уран и др.) и при флотации руд.

При длит. хранении М.о. образует пероксиды; для ее стабилизации используют диизопропиламин.

М. о. раздражает кожу. ЛД50 (для крыс) 1,12 мг/кг. Т. всп. 32,2 °С (в открытом тигле).

Лит.: Kirk-Othmer encyclopedia, 3 ed., v. 13, N.Y., p. 916-18; Ullmanns Encyclopadie, 4 Aufl., Bd 14, Weinheim, 1977, S. 209-10. Л.А. Яновская .



Поделитесь с друзьями:


Вы можете поставить ссылку на это слово:

будет выглядеть так: МЕЗИТИЛА ОКИСЬ


будет выглядеть так: Что такое МЕЗИТИЛА ОКИСЬ

Реклама:
Толковые словари и Энциклопедии. Словарь - МЕЗИТИЛА ОКИСЬ - Химическая энциклопедия - Толковые Словари и Энциклопедии