Электронные словари и энциклопедии: Большой энциклопедический словарь, Словарь Даля, Словарь Ожегова и т.д.

Химическая энциклопедия
"АЗАИНДОЛЫ"

Главная - Химическая энциклопедия - буква А - АЗАИНДОЛЫ
Химическая энциклопедия
Искать!

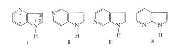
АЗАИНДОЛЫ (пирролопиридины, диазаинданы). Различают 4-, 5-, 6- и 7-А. (ф-лы соотв. I-IV). Для них т-ры плавления равны 127-128, 112-113, 136-137 и 106-107°С, pКa-6,94, 8,26, 7,95 и 4,59.
1007-5.jpg

А.-кристаллы; раств. в орг. р-рителях, умеренно-в воде. Устойчивы в кислых и щелочных средах, флуоресцируют. Электроф. замещение идет в положение 3 (реакц. способность изомеров уменьшается в ряду 5-А. > 7-А. > 4-А. = = 6-А.), нуклеоф. замещение-в орто- и пара-положения к атому N в 6-членном цикле, алкилирование и ацилирова-ние-в положение 1.

Получают А. из изомерных аминопиридинов аналогично синтезу индолов по Фишеру:
1007-6.jpg

Для синтеза 5- и 7-А. используют также циклизацию соотв. 4- и 2-галоген-З1007-7.jpgхлорэтил)пиридинов с NH3 и аминами, напр.:
1007-8.jpg

4- и 6-А. получают конденсацией о-нитропиколинов с ацеталем диметилформамида:
1007-9.jpg

Некоторые производные А. обладают психотропной активностью (напр., З-пиперазиноалкил-7-азаиндолы) и гипотензивным действием (напр., оксим З-ацетил-7-азаиндола).

Лит.: Яхонтов Л.Н., Прокопов А. А., "Успехи химии", 1980, т. 49, в. 5, с. 814-47; Яхонтов Л.Н., "Химия гетероциклических соединений", 1982, № 9, с. 1155-67. А. В. Довгилевич.



Поделитесь с друзьями:


Вы можете поставить ссылку на это слово:

будет выглядеть так: АЗАИНДОЛЫ


будет выглядеть так: Что такое АЗАИНДОЛЫ

Реклама:
Толковые словари и Энциклопедии. Словарь - АЗАИНДОЛЫ - Химическая энциклопедия - Толковые Словари и Энциклопедии