Электронные словари и энциклопедии: Большой энциклопедический словарь, Словарь Даля, Словарь Ожегова и т.д.

Химическая энциклопедия
"АЗОКРАСИТЕЛИ"

Главная - Химическая энциклопедия - буква А - АЗОКРАСИТЕЛИ
Химическая энциклопедия
Искать!

АЗОКРАСИТЕЛИ , характеризуются наличием в молекуле одной или неск. азогрупп —N==N—, связывающих остатки ароматич. или гетероароматич. соед. друг с другом или с остатками соед., имеющих активные СН2-группы. Молекулы содержат также электронодонорные заместители, напр. ОН, NH2, N(CH3)2, OCH3, NHCOCH3, чаще всего вместе с электроноакцепторными (NO2, CN, SO2CH3 и т.п.) и (или) атомами галогенов, реже-только электроноакцепторные. Получают А. способами, общими для всех азосоединений , гл. обр. азосочетанием .

По числу азогрупп в молекуле различают моно-, дис-и полиазокрасители (соотв. моно-А., дис-А., поли-А.). Цвет моно-А. определяется хим. строением связанных азогруппой остатков (различающихся структурой и размерами1009-1.jpg электронной сопряженной системы), числом и положением в них заместителей. Наиб. практически важные моно-А., содержащие один электронодонорный заместитель, имеют след. цвета: желтый-производные бензолазоацетоацетарилидов, пиразолоназобензола и азобензола, напр. пигмент желтый светопрочный (ф-ла I), жирорастворимый желтый 3 (II); оранжевый и красный-производные соотв. нафталиназобензола и азонафталина, напр. кислотный
1009-2.jpg

оранжевый (III) и кислотный красный 2С (IV). Углубление цвета достигается увеличением1009-3.jpg-электронной системы и усилением ее поляризации след. способами: заменой электронодонорных заместителей на более сильные или введением дополнит. заместителей (напр., как в моно-А. общей ф-лы V; см. ниже); введением электроноакцепторных заместителей в остаток диазосоставляющей (VI); применением в качестве диазосоставляющей аминов гетероциклич. ряда. Моно-А. общей ф-лы V могут иметь оранжево-красный (X = Н, R = Н), ярко-красный (X = Н, R = = NHCOCH3), синевато-красный (X = Н, R = NH2), красно-фиолетовый (X = CH3CONH, R = OH), фиолетовый (X = = NH2, R = OH) и голубой [X = (CH3)2N, R = ОН] цвета; моно-А. общей ф-лы VI-рубиновый (X = NH2) и фиолетовый (X = NO2).
1009-4.jpg

Цвет дис- и поли-А. зависит также от наличия сопряжения между азогруппами. Возникновение единой сопряженной системы углубляет цвет по сравнению с цветом каждого моно-А., остаток к-рого входит в состав дис- и поли-А. и к-рый образован из тех же исходных компонентов, взятых в том же порядке, что и при получении последних, а также по сравнению с цветом смеси этих моно-А. Напр., дис-А. (ф-ла VII) - aлoгo цвета; моно - А .- желтого (VII, а; содержит в положении 4 группу NH2) и оранжевого (VII, о) цветов, смесь их - желто-оранжевого цвета. Обычно цвет поли-А. углубляется при увеличении числа сопряженных азогрупп до 4; при большем числе азогрупп цвет повышается из-за нарушения плоскостности молекулы (увеличение углов поворота вокруг простых связей Аг—N при удлинении молекулы), приводящего к нарушению сопряжения.
1009-5.jpg

Во многих дис- и поли-А. цепь сопряжения разорвана, напр., как в красителях типа ArN=NAr—X— —Ar"N=N—Аг", где X = О, S, CH2, CONH и т.п. или отсутствует (поворот Аr и Аr" делает молекулу неплоской). Части молекулы, разделенные фрагментом X, поглощают свет независимо друг от друга. Цвет таких красителей приблизительно соответствует цвету смеси А., к-рые могли бы образоваться при разрыве молекулы по X. Напр., поли-А. VIII окрашен в зеленый цвет, соответствующий смеси составляющих его желтого моно-А. и темно-синего дис-А.
1009-6.jpg

В зависимости от р-римости, хим. природы и особенностей взаимод. с окрашиваемыми материалами А. делят на след. группы:

1. Пигменты (азопигменты) - гл. обр. моно-А. и дис-А. (напр., I); не содержат кислотных (SO3H, COOH), основных [NH2, (CH3)2N или др.], ониевых [(СН3)21009-7.jpg и др.] групп и поэтому не раств. в воде; высокопрочные пигменты не раств. также в большинстве орг. р-рителей и пластмассах. Как правило, молекулы пигментов содержат NO2, Cl, CH3, CH3O, (C2H5)2NSO2 и др. заместители. Иногда пигменты наносят на минер. субстраты, напр. А1(ОН)3, BaSO4, мел, часто с добавками минер. наполнителей для понижения интенсивности окраски.

2. Жиро-, спирто- и ацетонорастворимые А. (напр., II) по хим. строению аналогичны пигментам, но обычно не содержат NO2 и Cl; не раств. в воде, хорошо раств. в орг. р-рителях, моторных топливах, жирах, маслах и т.п.

3. Дисперсные А. - обычно моно-А.; плохо раств. в воде, раств. в орг. р-рителях и полимерах.
1009-8.jpg

4. Основные и катионные А. содержат в молекуле основные или ониевые группы, напр. красный А (IX); раств. в воде с образованием цветных катионов.

5. Кислотные А. - чаще всего моно-А. и дис-А., содержащие одну или неск. групп SO3H, напр. красители ф-л III и IV; раств. в воде с образованием цветных анионов.

6. Лаки (азолаки)-не р-римые в воде соли (обычно Ва или Са) нек-рых кислотных А. Применяются для тех же целей, что и пигменты.

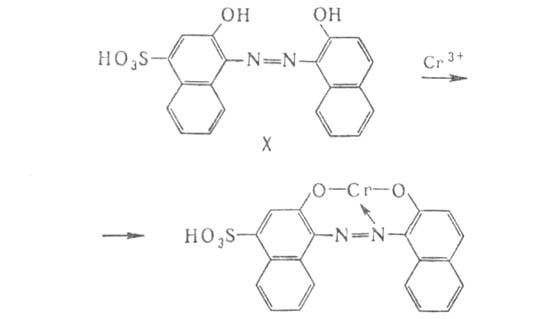
7. Хромовые (протравные) А. характеризуются наличием групп SO3H (реже СООН), придающих р-римость в воде, и в орто-орто-положениях к азогруппе - групп ОН, NH2 или СООН, к-рые при крашении могут образовывать с Сr3+ внутрикомплексные соединения; пример-хромовый сине-черный (X). В нек-рых хромовых А. группы ОН и СООН содержатся в одном ароматич. ядре в орто-положении друг к другу. При крашении хромовыми А. белковых волокон атом Сr связывает в комплекс молекулы А. и белка (напр., кератина шерсти) по его функц. группам (СООН, ОН, NH2), в результате чего возрастает устойчивость окрасок.
1009-9.jpg

8. Прямые А.-в основном дис-А. и поли-А., напр. прямой ярко-оранжевый (XI). Обладают сродством к целлюлозным волокнам благодаря ван-дер-ваальсовому взаимод. и водородным связям между группами красителя (ОН и NH2, атомы N гетероциклов и особенно NH—СО) и группами ОН целлюлозы.
1009-10.jpg

9. Активные А. обычно раств. в воде; содержат группировки, к-рые при крашении вступают в хим. р-цию с молекулами субстрата, с образованием ковалентных связей, благодаря чему окраски устойчивы к мокрым обработкам и трению.

10. Азогены-нерастворимые А., образующиеся непосредственно на волокне сочетанием диазосоединений с азосо-ставляющими.

11. Металлсодержащие А.-внутрикомплексные соединения А. с Сu2+ , Сr3+ , Со3+, реже с Ni2 + и Fe2+. Исходные А. содержат группировки, характерные для хромовых А. По св-вам и способам применения относятся к кислотным, дисперсным, активным и прямым красителям. Окраски отличаются повышенной светостойкостью и другими ценными свойствами.

А. включают представители всех цветов и оттенков и почти всех групп по техн. применению, просты в произ-ве и применении и относительно дешевы. На их долю приходится более половины всех производимых красителей по ассортименту и примерно 25-50% (в разных странах) по тоннажу. Применяются А. для крашения прир. и синтетич. волокон, кожи, бумаги, резины, пластмасс, как пигменты для лаков и красок, при изготовлении цветных карандашей и др.

Лит. см. при ст. Азосоединения . Б.И.Степанов.



Поделитесь с друзьями:


Вы можете поставить ссылку на это слово:

будет выглядеть так: АЗОКРАСИТЕЛИ


будет выглядеть так: Что такое АЗОКРАСИТЕЛИ

Реклама:
Толковые словари и Энциклопедии. Словарь - АЗОКРАСИТЕЛИ - Химическая энциклопедия - Толковые Словари и Энциклопедии