Электронные словари и энциклопедии: Большой энциклопедический словарь, Словарь Даля, Словарь Ожегова и т.д.

Химическая энциклопедия
"МОНОМОЛЕКУЛЯРНЫЙ СЛОЙ"

Главная - Химическая энциклопедия - буква М - МОНОМОЛЕКУЛЯРНЫЙ СЛОЙ
Химическая энциклопедия
Искать!

МОНОМОЛЕКУЛЯРНЫЙ СЛОЙ (монослой), слой в-ва толщиной в одну молекулу на пов-сти раздела фаз. Возникает при адсорбции, поверхностной диффузии, в результате испарения р-рителя из р-ра, содержащего нелетучий компонент. На твердых пов-стях М.с. обычно образуется вследствие адсорбции ПАВ из разбавл. р-ров или газов при относительно низких давлениях. С ростом концентрации (или давления пара) адсорбируемого в-ва М.с. может переходить в полимолекулярный поверхностный слой.

Емкостью М.с. пт наз. предельное заполнение молекулами адсорбир. в-ва пов-сти адсорбента. Если известна средняя площадь sm, занимаемая в насыщенном М.с. адсорбир. молекулой, то уд. пов-сть адсорбента А = nmsmNA, где пт выражена в молях на единицу массы адсорбента, NA-постоянная Авогадро. При эксперим. определении уд. пов-сти высокодисперсных порошков или высокопористых тел в качестве адсорбируемого в-ва обычно используют N2 или Аr, для к-рых sm равна 0,162 и 0,166 нм2 соотв. и слабо зависит от природы адсорбента.

На пов-сти жидкости М.с. нерастворимых и слаборастворимых ПАВ могут находиться в разл. "агрегатных" состояниях. Если расстояние, разделяющее молекулы в М.с., велико по сравнению с их размерами и молекулы почти не взаимод., слой наз. газообразным (G-пленка). М. с. с предельно плотной упаковкой молекул наз. конденсированным; его уподобляют двухмерной жидкости (L-пленка) или двухмерному твердому телу (S-пленка). В газообразном М.с. на границе водная среда-газ гидрофобные группы дифильных молекул ПАВ располагаются вдоль пов-сти раздела фаз, в конденсированных М.с. они ориентированы по нормали или под углом к межфазной пов-сти. Макромолекулы в М. с. могут находиться в виде клубков, спиралей или иных структурных форм. Молекулы линейных полимеров обычно принимают плоскую конформацию, располагаясь вдоль пов-сти раздела фаз. Однако отдельные участки цепи могут образовывать "петли" и "хвосты", выступающие далеко за пределы поверхностного слоя. Нек-рые макромолекулы, напр. белковые, имеющие в р-ре форму спирали, при выходе из объема фазы в поверхностный слой полностью или частично разворачиваются. Граница (подвижный барьер), отделяющая на пов-сти участок чистой жидкости от участка, покрытого М.с., испытывает давление, наз. поверхностным или плоским (двухмерным). В общем случае p = s0 — s(Г), где s0 и s(Г)-поверхностное натяжение соотв. чистой жидкости и жидкости, покрытой М. с., к-рый образовался в результате адсорбции в-ва массой Г, определяемой согласно известному адсорбц. ур-нию Гиббса (обычно Г выражают в молях на единицу площади межфазной пов-сти). В случае нерастворимого ПАВ p м. б. измерено непосредственно с помощью прибора, наз. п л ен о ч н ы м и в е с а м и, или в е с а м и Л е н г м ю р а.

Данные измерений позволяют строить изотермы в координатах p-площадь s, приходящаяся на одну молекулу (или ps- p), по виду к-рых изучают состояние М.с. в зависимости от его насыщения, т-ры Т, хим структуры ПАВ, состава и св-в жидкой фазы. Разреженный М.с. характерен для малых значений Г (или p) и достаточно высоких т-р. Насыщенные М. с. могут быть жидкорастянутыми (L1 -пленки), жидкоконденсиро-ванными (L2-плeнки) и твердоконденсированными, или твердыми (S-пленки). В нек-рых случаях по наклону линейного участка изотермы в координатах ps- p можно определить значения sm (см. рис.).

3027-1.jpg

Диаграмма состояния мономолекулярного слоя в координатах поверхностное давление p-площадь s, приходящаяся на одну адсорбир. молекулу. С, L2,I, L1 и S-соотв. газообразное, жидкоконденсированное, промежуточное, жидкорастянутое и твердоконденсированное состояния.

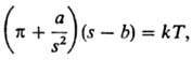
Переход от состояния L1 к L2 иногда идет через промежут. состояние I. Возможны условия, при к-рых вообще не реализуются нек-рые из состояний М.с. Переход L3027-2.jpg G при снижении p или G3027-3.jpgL при возрастании p осуществляется через "гетерог." область, где при p = const в термодинамич. равновесии находятся участки пов-сти, покрытые М.с. в состояниях L и G. Состояние G описывается ур-нием, аналогичным ур-нию Ван-дер-Ваальса:

3027-4.jpg

где а-эмпирич. постоянная, характеризующая силу меж-мол. взаимодействий в М.с., b-эффективная площадь сечения молекулы (обычно принимают b3027-5.jpgsm), k-постоянная Больцмана.

В эксперим. исследованиях М.с. образуются также при переносе конденсир. пленок нерастворимых ПАВ с пов-сти жидкости на пов-сть пластины из металла, стекла или др. материала при пересечении границы жидкости с газовой (обычно воздушной) средой (м е т о д Л е н г м ю р а-Б л о д-ж е т). В зависимости от направления перемещения пластины возможна "прямая" или "обратная" ориентация молекул ПАВ на твердой подложке и соотв. гидрофобизация или гидрофилизация пластины. Несколько М.с., нанесенных последовательно, позволяют получать полимолекулярные пленки с высокой степенью упорядоченности.

Структура и св-ва М.с. сильно зависят от строения образующих его молекул, степени ионизации полярных групп, природы контактирующих фаз и др. М.с., особенно S- и L-пленки, влияют на скорость массопереноса через пов-сть раздела фаз, трение, адгезию. М.с. нек-рых в-в эффективно снижают испарение летучих нефтепродуктов, защищают металлы от коррозии. Состояние М.с., его электрич. и реологич. св-ва решающим образом сказываются на устойчивости эмульсий и пен. Важную роль играют М.с. (липидные, липопротеидные и др.) в клеточных мембранных процессах.

Лит.: Адамсон А., Физическая химия поверхностей, пер. с англ., М., 1979; Измайлова В. Н. и др., в кн.: Поверхностные явления и поверхностно-активные вещества, Л., 1984, с. 90-161; Рохленко А. А., там же, с. 162-76; Джейкок М., Парфит Дж., Химия поверхности раздела фаз, пер. с англ., М., 1984; Грег С., Синг К., Адсорбция, удельная поверхность, пористость, пер. с англ., 2 изд.М., 1984. Л. А. Шиц.




Поделитесь с друзьями:


Вы можете поставить ссылку на это слово:

будет выглядеть так: МОНОМОЛЕКУЛЯРНЫЙ СЛОЙ


будет выглядеть так: Что такое МОНОМОЛЕКУЛЯРНЫЙ СЛОЙ

Реклама:
Толковые словари и Энциклопедии. Словарь - МОНОМОЛЕКУЛЯРНЫЙ СЛОЙ - Химическая энциклопедия - Толковые Словари и Энциклопедии