Электронные словари и энциклопедии: Большой энциклопедический словарь, Словарь Даля, Словарь Ожегова и т.д.

Химическая энциклопедия
"ОЗОНИРОВАНИЕ"

Главная - Химическая энциклопедия - буква О - ОЗОНИРОВАНИЕ
Химическая энциклопедия
Искать!

ОЗОНИРОВАНИЕ . 1) Взаимод. орг. соед. с озоном. Наиб. изучено О. олефинов по двойной связи. В р-рах это быстрая бимол. р-ция (константа скорости 105 л/моль·с). В первом акте р-ции образуется я-комплекс олефина с озоном (ф-ла I; относительно стабилен при т-ре ниже — 140°С), к-рый затем превращ. в первичный озонид (молозонид) 1,2,3-триоксолан (ф-ла II). Др. возможное направление р-ции - образование эпоксидных соед. III. Первичный озонид нестабилен и распадается с образованием карбонильного соед. и карбонил-оксида (IV). В результате взаимод. карбонилоксида с карбонильным соед. образуется биполярный ион (V), к-рый затем превращ. во вторичный озонид 1,2,4-триоксолан (VI). Последний при восстановлении распадается с образованием смеси двух карбонильных соединений. Ион IV может ди-меризоваться в пероксид VII, а ион V полимеризоваться в озонид VIII.

3503-34.jpg

С водой, спиртами и к-тами карбонилоксид образует гидрокси-, алкокси- и ацилоксигидропероксиды, разложение к-рых приводит к альдегидам, кетонам или карбоновым к-там:

3503-35.jpg

Последнюю р-цию применяют для пром. получения азелаи-новой и пеларгоновой к-т из олеиновой или линолевой.

В газовой фазе О. протекает на порядок медленнее, чем в р-ре, и описывается более сложными закономерностями; при этом происходит, напр., разложение карбонилоксида до СО2 и орг. радикалов через возбужденное состояние, образующееся при изомеризации:

3503-36.jpg

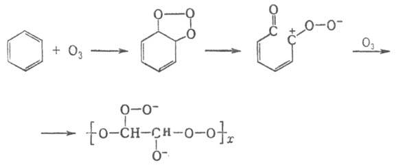
О. ароматич. соед. протекает по типу О. олефинов с образованием полимерных озонидов, напр.:

3503-37.jpg

Присоединение О3 нарушает ароматич. сопряжение в ядре и требует затрат энергии, поэтому скорости О. гомологов коррелируют с энергией сопряжения. О. насыщ. углеводородов протекает, по-видимому, по механизму внедрения:

3503-38.jpg

Возможность генерирования радикалов обусловила использование О. для инициирования цепных процессов, конечные продукты к-рых-спирты, кетоны, к-ты.

О. элементоорг. соед. обычно сопровождается разрывом связи углерод-элемент, напр.: Рb(С2Н5)4 + 2О33503-39.jpgРbО2 + 4СН3СНО; SiR4 + O33503-40.jpgR3SiOOH3503-41.jpgSiO2. Промежуточно иногда образуются пероксиды и гидропероксиды.

О. серо- и азотсодержащих орг. соед. протекает, напр., по р-циям:

3503-42.jpg

О. используют в орг. химии для обработки диеновых каучуков и их сополимеров с целью получения бифункцион. олигомеров. Разложение орг. соед. под действием озона (озонолиз) применяют для получения кислородсодержащих соед. заданной структуры (альдегидов, спиртов, к-т) и установления положения двойных связей С3504-1.jpgС в скелете сложных орг. и высокомол. соед. (стероидов, сополимеров бутадиена, изопрена и др.).

2) Технол. процесс обработки озоном воды, воздуха и др. в-в. Оказывает сильное бактерицидное действие, устраняет неприятный запах и привкус, возвращает воде естеств. цвет, уменьшает коррозионную активность воды. Озонированная вода не содержит токсичных галогенметанов - типичных примесей стерилизации воды хлором. Процесс О. проводят в барботажных ваннах или смесителях, в к-рых очищенная от взвесей вода смешивается с озонированным воздухом или кислородом. Недостаток процесса - быстрое разрушение О3 в воде, обусловленное р-цией 2О3 + 2ОН- + 2Н+ 3504-2.jpgЗО2 + + 2Н2О. В мире эксплуатируются более 2 тыс. установок по О. воды.

О. применяют также в пищ. пром-сти для стерилизации холодильников, складов, устранения неприятного запаха; в мед. практике-для стерилизации открытых ран и лечения нек-рых хронич. заболеваний (трофич. язвы, грибковые заболевания).

Лит.: Разумовский С. Д., Заиков Г.Е., Озон и его реакции с органическими соединениями, М., 1974; Bailey Ph. S., Ozonation in organic chemistry, v. 1-2, N.Y., 1978-82. С. Д. Разумовский.




Поделитесь с друзьями:


Вы можете поставить ссылку на это слово:

будет выглядеть так: ОЗОНИРОВАНИЕ


будет выглядеть так: Что такое ОЗОНИРОВАНИЕ

Реклама:
Толковые словари и Энциклопедии. Словарь - ОЗОНИРОВАНИЕ - Химическая энциклопедия - Толковые Словари и Энциклопедии