Электронные словари и энциклопедии: Большой энциклопедический словарь, Словарь Даля, Словарь Ожегова и т.д.

Химическая энциклопедия
"ОКСАЗИНОВЫЕ КРАСИТЕЛИ"

Главная - Химическая энциклопедия - буква О - ОКСАЗИНОВЫЕ КРАСИТЕЛИ
Химическая энциклопедия
Искать!

ОКСАЗИНОВЫЕ КРАСИТЕЛИ , группа хинониминовых красителей, содержащих соотв. один или два оксазиновых цикла, конденсированных с фенильными ядрами. По этому признаку различают моно- и диоксазиновые красители. Отличаются чистыми и яркими цветами от красно-фиолетового до синего. По сравнению с соответствующими хинон-иминовыми красителями, не содержащими атома кислорода, О. к. обладают более высокой окраской (см. Цветность органических соединений ); напр., краситель ф-лы I (R = СН3) имеет голубой цвет (3505-26.jpg 665 нм), а его хинонимино-вый аналог зеленый Биндшедлера (II)-зеленый (lмакс 726 нм).

3505-27.jpg

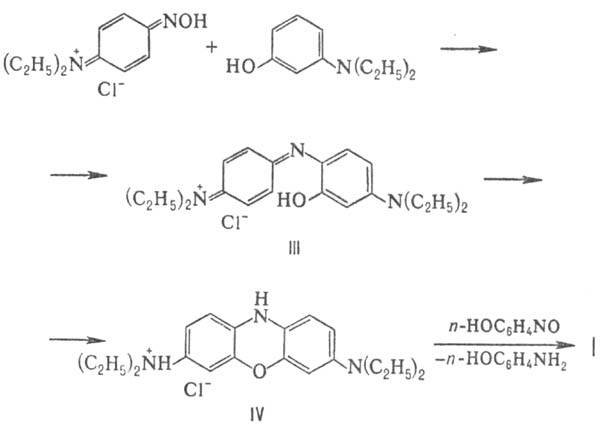
O.K., содержащие один оксазиновый цикл (производные феноксазина), напр. катионный бирюзовый 23 (ф-ла I; R = С2Н5), получают нагреванием избытка гидрохлорида n-нитрозо-N,N-диэтиланилина с м-(N,N-диэтиламино)фено-лом с образованием индамина (III), к-рый, не выделяя, подвергают циклизации до лейкосоединения (IV), окисляющегося избытком нитрозосоединения или специально вводимым окислителем до целевого красителя:

3505-28.jpg

Из-за низкой светостойкости монооксазиновые красители не применяют для крашения текстильных материалов из натуральных волокон, однако их используют для крашения полиакрилонитрильных волокон, на к-рых они образуют устойчивые окраски, напр, катионный бирюзовый 23. Его перхлорат (ф-ла I; R = C2H5, анион СlO-4 вместо Сl-) употребляют в качестве активной среды жидкостных лазеров (3505-29.jpg излучения 715 нм). Аналогичное применение находит краситель, получаемый из n-нитрозофенола и резорцина (ф-ла V), с 3505-30.jpg излучения в метаноле 608 нм и его N-оксид (3505-31.jpg 656 нм).

3505-32.jpg

Наиб. значение как красители (гл. обр. синие) и пигменты имеют производные трифендиоксазина (диоксазиновые красители) общей ф-лы VI. Благодаря плоскому строению молекулы и наличию гетероатомов, способных к образованию водородных связей, они обладают большим сродством к целлюлозным волокнам и окрашивают их без протрав как прямые красители . Окраски отличаются яркостью и светостойкостью.

Общий способ получения диоксазиновых красителей: взаимод. первичных ароматич. или гетероциклич. аминов, имеющих своб. орто -положение, с тетрахлорбензохиноном в присут. оснований (MgO, CH3COONa, пиридин) с послед. замыканием оксазиновых циклов посредством взаимод. с водоотнимающими агентами или окислителями, напр, с сульфохлоридами в высококипящих р-рителях при 180-260 °С или с нитробензолом, H2SO4 или олеумом (с одновременным сульфированием для придания р-римости в воде). Напр., прямой ярко-голубой светопрочный (ф-ла VI; R = C6H5NH, R = SO3Na) получают взаимод. 4-амино-2-сульфодифениламина с тетрахлорбензохиноном в присут. MgO в водной среде (60 °С, 6 ч) с послед. окислением образовавшегося диариламинопроизводного бензохинона (VII) 20%-ным олеумом при 55 °С и гидролизом полученного сульфата разо. H2SO4 при 95-98 °С:


3505-33.jpg

Аналогично из 3-амино-N-этилкарбазола и тетрахлорбен-зохинона получают пигмент фиолетовый диоксазиновый (VIII), обладающий очень высокой красящей способностью.

3505-34.jpg

Красители VI применяют для крашения хлопка, вискозы и шелка, пигмент-в полиграфии для цветной печати, крашения в массе пластмасс и хим. волокон, в лакокрасочной пром-сти.

Лит.: Степанов Б. И., Введение в химию и технологию органических красителей, 3 изд., М., 1984. С. И. Попов.



Поделитесь с друзьями:


Вы можете поставить ссылку на это слово:

будет выглядеть так: ОКСАЗИНОВЫЕ КРАСИТЕЛИ


будет выглядеть так: Что такое ОКСАЗИНОВЫЕ КРАСИТЕЛИ

Реклама:
Толковые словари и Энциклопедии. Словарь - ОКСАЗИНОВЫЕ КРАСИТЕЛИ - Химическая энциклопедия - Толковые Словари и Энциклопедии