Электронные словари и энциклопедии: Большой энциклопедический словарь, Словарь Даля, Словарь Ожегова и т.д.

Химическая энциклопедия
"ОКСЕПИН"

Главная - Химическая энциклопедия - буква О - ОКСЕПИН
Химическая энциклопедия
Искать!

ОКСЕПИН , соед. ф-лы I; мол. м. 94,11. Незамещенный О. в своб. виде не выделен. Незамещенный, монозамещенные и конденсированные О. находятся в равновесии со своими валентными таутомерами, напр.:



3506-17.jpg

В полярных р-рителях равновесие смещается в сторону соед. II, в углеводородах - в сторону О. Стабильность замещенных О. зависит от природы заместителей в цикле. Наиб. стабильны конденсированные О., содержащие электроно-акцепторные заместители.

О. и его замещенные - полиеновые системы с относительно реакционноспособными кратными связями. При нагр. или под воздействием к-т перегруппировываются в фенолы, напр.:

3506-18.jpg

С малеиновым ангидридом при комнатной т-ре О. образует аддукт ф-лы III; при восстановлении в присут. Pd превращ. в оксепан, при УФ облучении-в 2-оксабицикло[3.2.0.]гепта-3,6-диен:

3506-19.jpg

Бензо[b]оксепин (IV) при действии протонных к-т или к-т Льюиса изомеризуется в 1-нафтол; его производные при умеренных т-рах перегруппировываются в производные 1-нафтола. Бензо[d]оксепин (V) в р-рах сильных к-т претерпевает сужение цикла с образованием инденкарбальде-гида:

3506-20.jpg

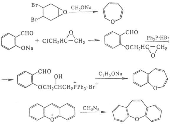
Нек-рые методы синтеза О. и его производных:

3506-21.jpg

Лит.: Иванский В. И., Химия гетероциклических соединений, М., 1978, с. 493-95; Общая органическая химия, пер. с англ., т. 9, М., 1985, с. 213-23.

А. В. Тараканова.



Поделитесь с друзьями:


Вы можете поставить ссылку на это слово:

будет выглядеть так: ОКСЕПИН


будет выглядеть так: Что такое ОКСЕПИН

Реклама:
Толковые словари и Энциклопедии. Словарь - ОКСЕПИН - Химическая энциклопедия - Толковые Словари и Энциклопедии