Электронные словари и энциклопедии: Большой энциклопедический словарь, Словарь Даля, Словарь Ожегова и т.д.

Химическая энциклопедия
"ОЛИГОСАХАРИДЫ"

Главная - Химическая энциклопедия - буква О - ОЛИГОСАХАРИДЫ
Химическая энциклопедия
Искать!

ОЛИГОСАХАРИДЫ , углеводы, молекулы к-рых построены из неск. моносахаридных остатков (от 2 до 10-20), соединенных гликозидными связями (экзоциклич. связь ано-мерного атома С моносахарида с атомом О соседнего моносахаридного остатка). В соответствии со степенью полимеризации различают дисахариды (биозы), трисахари-ды (триозы), тетрасахариды (тетраозы) и т.д.

В состав О. могут входить остатки к.-л. одного моносахарида (гомоолигосахариды) или разных моносахаридов (гете-роолигосахариды). Каждый моносахаридный остаток может находиться в одной из четырех возможных циклич. форм (3512-19.jpg3512-20.jpg-фураноза, 3512-21.jpg- и 3512-22.jpg-пираноза; см. Моносахариды )и соединяться гликозидной связью с любой гидроксильной группой соседнего остатка (включая полуацетальный гидроксил). Отсюда следует, что даже из двух одинаковых гексоз можно построить 30, а из двух разных гексоз-56 изомерных диса-харидов; три разные гексозы теоретически дают 4896 изомерных трисахаридов; с ростом степени полимеризации число возможных изомеров быстро достигает астрономич. величин.

Если в молекуле О. все гликозидные связи образованы полуацетальным гидроксилом одного и спиртовым гидро-ксилом другого моносахаридного остатка, в конце цепи остается один незамещенный полуацетальный гидроксил, за счет к-рого О. проявляет св-ва карбонильных соед., характерные для моносахаридов (р-ции окисления и восстановления, мутаротацию и др.); такие О. наз. восстанавливающими (редуцирующими). Если же один из моносахаридных остатков в молекуле О. связан гликозидной связью с полуацетальным гидроксилом другого моносахарида, такие О. не содержат полуацетального гидроксила и наз. невосстанавливающими (нередуцирующими). О., в к-рых к спиртовым гидроксилам каждого моносахаридного остатка присоединено не более одного соседнего остатка, наз. линейными (неразветвленными); присоединение двух и более моносахаридов к спиртовым гидроксилам одного и того же моносахаридного остатка приводит к разветвлению О. Т. обр., уже трисахариды могут иметь разветвленную структуру. Моносахаридные остатки, расположенные на концах углеводных цепей, наз. концевыми (терминальными). В восстанавливающих О. различают концевой восстанавливающий моносахарид (он м. б. только один) и концевые невосстанавливающие моносахариды (их на единицу больше, чем точек разветвлений).

Строгая номенклатура О. весьма громоздка. Название О. образуется по типу О-замещенных производных моносаха-ридов, исходя из названия восстанавливающего звена с указанием всех имеющихся заместителей; для невосстанавливающих О. номенклатура аналогична номенклатуре гликози-дов. В названиях линейных О. часто применяется последовательное перечисление моносахаридных остатков с указанием типа связи между ними. Весьма употребительны тривиальные названия О., обычно связанные с источником получения в-ва, и способы сокращенной записи структур, в к-рых моносахаридные остатки обозначаются тремя буквами, абс. конфигурации - буквами D или L, размер цикла - буквами f (фураноза) или р (пираноза), конфигурации гликозидных центров-буквами 3512-23.jpg или 3512-24.jpg; цифры в скобках обозначают положения гидроксильных групп, участвующих в межмоно-мерной связи; направление гликозидной связи указывается стрелкой (знак ~ обозначает, что моносахарид может иметь 3512-25.jpg - или 3512-26.jpg-конфигурацию). Примеры О.: невосстанавливающий дисахарид 3512-27.jpg-трегалоза (3512-28.jpg-D-глюкопиранозил-3512-29.jpg-D-глюкопиранозид; ф-ла Г), восстанавливающие дисахариды лактоза (4-О-3512-30.jpg-D-галактопиранозил-D-глюкоза; II) и мальтоза, или солодовый сахар (4-О-3512-31.jpg-D-глюкопиранозил-D-глюкоза; III), разветвленный гетеротрисахарид солатриоза (2-О-3512-32.jpg-L-рамнопиранозил-3-О-3512-33.jpg-D-глюкопиранозил-D-га-лактоза; IV), линейный гомотрисахарид мальтотриоза [О-3512-34.jpg-D-глюкопиранозил-(1 3512-35.jpg4)-О-3512-36.jpg-D-глюкопиранозил-(13512-37.jpg 3512-38.jpg 4)-D-глюкоза; V].

3512-39.jpg

Главным источником получения разнообразных О. служат р-ции частичного (химического или ферментативного) расщепления прир. полисахаридов , гликолипидов и гликопро-теинов. Однако существует неск. групп О., встречающихся в природе в своб. состоянии. Группа сахарозы широко представлена в растениях, где выполняет роль легкомобили-зуемого энергетич. резерва. Кроме сахарозы в эту группу входят О., образовавшиеся путем гликозилирования молекулы сахарозы остатками D-фруктозы (Fru), D-глюкозы (Glc) или D-галактозы (Gal), а также в результате последующего частичного гидролиза этих высших О.:

3512-40.jpg

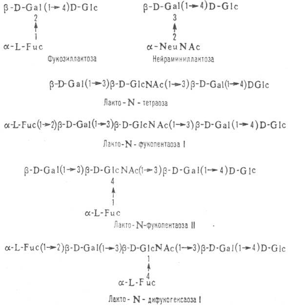
О. группы лактозы содержатся в молоке млекопитающих; известно неск. десятков О. этой группы, к-рые представляют собой продукты гликозилирования молекулы лактозы остатками L-фукозы (Fuc), N-ацетил-D-глюкозамина (GlcNAc), D-галактозы, N-ацетилнейраминовой к-ты (NeuNAc; все сахара в пиранозной форме), напр.:

3512-41.jpg

Обращает на себя внимание сходство этих О. с углеводными цепями гликолипидов и гликопротеинов животных тканей. Одна из ф-ций О. группы лактозы - формирование бактериальной флоры в кишечнике новорожденных, необходимой для нормального пищеварения.

Из других О., встречающихся в прир. источниках, следует упомянуть 3512-42.jpg-трегалозу (резервный дисахарид насекомых и грибов), а также уникальные по структуре циклодекстрины (декстрины Шардингера), представляющие собой мак-роциклич. молекулы из 6, 7 или 8 остатков 3512-43.jpg-глюкопира-нозы, связанных 1 3512-44.jpg4-связями; циклодекстрины образуются из крахмала при действии на него амилазы из бактерий Bacillus macerans.

Большинство О.-бесцв. кристаллич. соед., раств. в воде, меньше раств. в полярных орг. р-рителях и не раств. в неполярных. Невосстанавливающие О. кристаллизуются легко, тогда как восстанавливающие существуют в р-рах в виде смеси таутомерных форм и часто кристаллизуются с большим трудом.

Из хим. р-ций О. важнейшей является полный кислотный гидролиз под действием разб. минер. к-т, используемый для определения моносахаридного состава. Восстановление или окисление карбонильной группы позволяет идентифицировать моносахарид. расположенный на восстанавливающем конце молекулы. Превращ. всех гидроксильных групп О. в метиловые эфиры с послед. гидролизом и идентификацией метилир. моносахаридов (т. наз. метод метилирования) служит хим. способом определения размера циклов и расположения межмономерных связей в молекулах О.; для этой же цели используется периодатное окисление. Последовательность моносахаридных остатков и конфигурации отдельных гликозидных центров определяют при расщеплении О. специфич. гликозидазами.

Для выделения О. из сложных смесей используют хрома-тографич. методы, причем разделение О. по степени полимеризации достигается с помощью гелъ-хроматографии, а более тонкое разделение изомеров выполняют с применением высокоэффективной жидкостной хроматографии. Низшие О. в виде летучих производных (метиловых, триметилсилило-вых эфиров или ацетатов) удается разделять с помощью гжх.

Синтез О.-одна из сложнейших задач синтетич. химии углеводов. Для этой цели разработаны многочисл. приемы избират. защиты гидроксильных групп в молекулах моносахаридов и ряд весьма эффективных методов стереоспе-цифич. построения гликозидной связи.

Наиб. практическое использование находит сахароза, к-рая по масштабам ежегодного получения (св. 100 млн. т) занимает одно из первых мест среди индивидуальных орг. соединений. В небольших кол-вах производятся лактоза и циклодекстрины, используемые в фармацевтич. пром-сти. Синтетич. О., идентичные антигенным детерминантам бактериальных полисахаридов, могут найти применение при синтезе искусств. антигенов, перспективных для получения специфич. вакцин.

Лит.: Химия углеводов. М., 1967, с. 417-74; 3512-45.jpg J., 3512-46.jpg М., Раса k J., The oligosaccarides, Prague, 1965. А.И. Усов.



Поделитесь с друзьями:


Вы можете поставить ссылку на это слово:

будет выглядеть так: ОЛИГОСАХАРИДЫ


будет выглядеть так: Что такое ОЛИГОСАХАРИДЫ

Реклама:
Толковые словари и Энциклопедии. Словарь - ОЛИГОСАХАРИДЫ - Химическая энциклопедия - Толковые Словари и Энциклопедии