Электронные словари и энциклопедии: Большой энциклопедический словарь, Словарь Даля, Словарь Ожегова и т.д.

Химическая энциклопедия
"ПИКОЛИНОВАЯ КИСЛОТА"

Главная - Химическая энциклопедия - буква П - ПИКОЛИНОВАЯ КИСЛОТА
Химическая энциклопедия
Искать!

ПИКОЛИНОВАЯ КИСЛОТА (пиридин-2-карбоновая к-та), мол. м. 123,12; бесцв. кристаллы; т. пл. 136-1370C; m 14,74· 10-30 Кл·м (диоксан); 3539-9.jpg -10,21 Дж/моль; 3539-10.jpg 36,42 Дж/моль · К). Хорошо раств. в воде и этаноле (5,44 г в 100 мл, 250C), уксусной к-те; не раств. в диэтиловом эфире, бензоле, хлороформе; рКа при 22 0C 1,01 (присоединение протона) и 5,32 (отщепление протона). Образует соли с к-тами и основаниями; с солями Cu(II) и Fe (II) ( в отличие от пиридин-3- и пиридин-4-карбоновых к-т) даст окраш. комплексы, что используется в аналит. практике.

3539-11.jpg

В водных р-рах П. к. существует гл. обр. в форме цвит-териона (ф-ла I); при нагр. до 180 0C легко декарбоксили-руется с образованием илида пиридиния (II), к-рый обычно улавливают по р-циям с альдегидами или солями диа-зония:

3539-12.jpg

При взаимод. с алкилгалогенидами в щелочной среде превращ. в N-алкилпроизводные. По карбоксильной группе дает сложные эфиры, амиды, гидразиды и др. производные, напр. метиловый эфир с т. кип. 112 0C/13 мм рт. ст., амид с т. пл. 1070C.

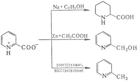
П. к. легко вступает в р-ции нуклеоф. замещения. Длит. нагревание при 100 0C с SOCl2 приводит к образованию 4-хлорпиколиновой к-ты, при более высокой т-ре-к 4,6- и 4,5,6-хлорзамещенным. Восстановление П. к. приводит к разл. пиридиновым и пиперидиновым производным, напр.:

3539-13.jpg

Осн. методы синтеза П. к.-окисление 2-пиколина и др. 2-замещенных пиридинов под действием KMnO4, SeO2, NaClO3, H2SO4 в присут. Se или электрохимически, а также окислит. аммонолиз 2-пиколина с послед. гидролизом образовавшегося нитрила.

Нек-рые производные П. к., в частности 6-метилпиколиновая к-та,-промежут. продукты в синтезе лек. ср-в, напр, димеколина. Ag-Соль П. к.-мягкий окислитель спиртов до альдегидов или кетонов, гидрохинонов до хинонов.

Лит.: Гетероциклические соединения, под ред. P. Эльдерфилда, пер. с англ., т. 1, M., 1953, с. 437 52; Джоуль Дж., Смит Г., Основы химии гетероциклических соединений, пер. с англ., M., 1975, с. 80; Физеr М., Физер Л., Реагенты для органического синтеза, пер. с англ., т. 6, M., 1975, с. 209. Л. H. Яхонтов.



Поделитесь с друзьями:


Вы можете поставить ссылку на это слово:

будет выглядеть так: ПИКОЛИНОВАЯ КИСЛОТА


будет выглядеть так: Что такое ПИКОЛИНОВАЯ КИСЛОТА

Реклама:
Толковые словари и Энциклопедии. Словарь - ПИКОЛИНОВАЯ КИСЛОТА - Химическая энциклопедия - Толковые Словари и Энциклопедии