Электронные словари и энциклопедии: Большой энциклопедический словарь, Словарь Даля, Словарь Ожегова и т.д.

Химическая энциклопедия
"АЛКИЛИРОВАНИЕ"

Главная - Химическая энциклопедия - буква А - АЛКИЛИРОВАНИЕ
Химическая энциклопедия
Искать!

АЛКИЛИРОВАНИЕ , введение алкильной (в т.ч. аралкильной) группы в молекулу орг. соед., а также получение алкильных производных хим. элементов. В зависимости от того, к какому атому присоединяется алкильная группа, различают С-, О-, N- и S-A. и др.

Наиб. часто в кач-ве алкилирующих агентов используют алкилгалогениды, алкены, эпоксисоединения, спирты, реже -альдегиды, кетоны, эфиры, сульфиды, диазоалканы. Катализаторы А.-минеральные (H2SO4, HF, Н3РО4) и апротонные (А1С13, BF3, ZnCl2 и др.) к-ты, а также цеолиты и алюмосиликаты.

А. изопарафиновых и ароматич. углеводородов проводят: в жидкой фазе в инертном р-рителе при т-рах до 100°С и давлении, необходимом для поддержания жидкофазного состояния; в паровой фазе с применением гетерог. катализаторов при 200-350 °С и давл. 0,3-3,5 МПа. Например, А. триметилметана бутеном осуществляют в жидкой фазе при 0-10°С (кат. - Н24) или - 10°С (HF), А. бензола этиленом-в жидкой фазе при 90-100°С (А1С13) или паровой фазе при 250°С и давл. 3,5 МПа (BF3), А. бензола пропиленом-в жидкой фазе при 50°С и давл. 0,7 МПа (HF) или паровой фазе при 300°С и давл. 0,3-1,0 МПа (H3P04/Si02).

О-А. проводят при т-рах не выше 100 С в воде или орг. р-рителях, напр.:
1016-18.jpg

N-A. аминов спиртами осуществляют в газовой фазе в присут. кислотных кат. при 200-300°С, напр.:
1016-19.jpg

Получение алкильных производных металлов проводят в присут. меди, напр.:
1016-20.jpg

А. углеводородов сопровождается полиалкилированием, изомеризацией и полимеризацией. Так, при этилировании бензола по р-ции Фриделя - Крафтса, кроме этилбензола, образуются ди- и полиэтилбензолы. Полиалкилирование объясняется лучшей р-римостью в образующемся катали-тич. комплексе алкилатов по сравнению с исходным в-вом. При использовании в кач-ве р-рителя нитрометана идет преимуществ. образование моноалкилпроизводных. Для увеличения выхода моноалкилпроизводных уменьшают мольное соотношение олефин : бензол, а также проводят рециркуляцию полиалкилпроизводных, в результате к-рой идет их деалкилирование.

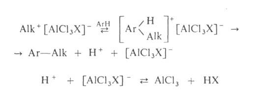
Механизм А. Наиб. подробно изучен на примере С-и О-А. Р-ции с участием алкилгалогенидов, спиртов, сложных эфиров протекают след. образом:
1016-21.jpg1016-22.jpg

Поскольку третичные алкилгалогениды ионизируются легче всего, вторичные-труднее, а первичные практически не ионизируются, вероятность образования соответствующих карбкатионов уменьшается в том же ряду. Такое же влияние строения алкилирующего агента отмечено при О-А., к-рое в целом протекает как нуклеоф. замещение у насыщ. атома углерода:
1016-23.jpg

Помимо приведенных выше р-ций, А. применяют в лаб. практике для получения алкильных производных карбонильных соед. (1-р-ция Сторка),1016-24.jpgдикарбонильных соед. (2-р-ция Тейлора-Мак-Киллопа), при хлорметилировании ароматич. углеводородов (3-р-ция Блана):
1016-25.jpg

А. широко применяется в пром-сти, в частности для получения алкилата, этилбензола, изопропилбензола, высших алкилбензолов, ПАВ и др.

Лит.. Ингольд К., Теоретические основы органической химии, пер. с англ., 2 изд., М., 1973; Кери Ф., Сандберг Р., Углубленный курс органической химии, пер. с англ., кн. 1-2, М., 1981; Лебедев Н.Н., Химия и технология основного органического и нефтехимического синтеза, 3 изд.. М., 1981; Общая органическая химия, пер. с англ., М., 1981; Алкилирование. Исследование и промышленное оформление процесса, пер. с англ., М., 1982. В.Ф. Травень.



Поделитесь с друзьями:


Вы можете поставить ссылку на это слово:

будет выглядеть так: АЛКИЛИРОВАНИЕ


будет выглядеть так: Что такое АЛКИЛИРОВАНИЕ

Реклама:
Толковые словари и Энциклопедии. Словарь - АЛКИЛИРОВАНИЕ - Химическая энциклопедия - Толковые Словари и Энциклопедии