Электронные словари и энциклопедии: Большой энциклопедический словарь, Словарь Даля, Словарь Ожегова и т.д.

Химическая энциклопедия
"ПОЛИУРЕТАНЫ"

Главная - Химическая энциклопедия - буква П - ПОЛИУРЕТАНЫ
Химическая энциклопедия
Искать!

ПОЛИУРЕТАНЫ , гетероцепные полимеры, содержащие незамещенные и(или) замещенные уретановые группы —N(R)—С(О)О— (R = Н, алкил, арил или ацил). Кол-во уретановых групп зависит от мол. массы П. и соотношения исходных компонентов. В зависимости от природы последних в макромолекулах П. могут содержаться и др. функц. группы: простые эфирные и сложноэфирные (полиэфир-уретаны), мочевинные (полиуретанмочевины), изоциан-уратные (полиуретанизоцианураты), амидные (поли-амидоуретаны), двойные связи (полидиенуретаны), к-рые наряду с уретановой группой определяют комплекс св-в полимеров. Известны линейные и сетчатые П., а также уретансодержащие взаимопроникающие полимерные сетки и уретанфункцион. олигомеры.

Получение. Осн. традиц. способ синтеза П., используемый в пром-сти,-взаимод. соединений, содержащих изоцианат-ные группы, с би- и полифункцион. гидроксилсодержащими производными:

4006-1.jpg

R-алкилен, арилен; R-алкилен, остаток олигогликолей, полиэфиров

При эквимолярном соотношении двух бифункцион. компонентов синтеза образуются линейные П. Однако получение П., не содержащих поперечных связей, не представляется возможным из-за высокой реакц. способности изоцианатной группы по отношению к любым соед. и группам, содержащим активный атом водорода (вода в компонентах и окружающей среде, уретановые группы в образующейся цепи). Поэтому т. наз. линейные П. следует рассматривать как слаборазветвленные полимеры.

Сетчатые П. получаются в след. случаях: 1) по крайней мере один из компонентов синтеза имеет функциональность более двух (образуются уретановые поперечные связи); 2) наряду с двумя основными компонентами синтеза используют агенты удлинения и структурирования (строение хим. поперечных связей определяется природой агентов структурирования: в случае триодов образуются уретановые группы, в присут. воды, диаминов - биуретовые, карбоксилсодер-жащих соед.- амидные, серы - полисульфидные); 3) в макромолекулы П. в ходе синтеза вводят функц. группы, содержащие активный атом водорода, напр. мочевинные, и используют изоцианатный компонент в избытке по отношению к гидроксилсодержащему (биуретовые поперечные связи); 4) проводят циклотримеризацию изоцианатных групп в присут. специфич. катализаторов, в результате чего образуется узел сшивания - изоциануратный цикл:

4006-2.jpg

Таким образом получают полиуретанизоцианураты.

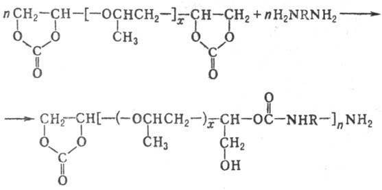
Менее распространен синтез П. из биохлорформиатов гликолей (низкомолекулярных или олигомерных) и диаминов:

4006-3.jpg

R-алкилен, остаток олигомера; R-алкилен, арилен Скорость р-ции высока; однако из-за выделения НС1 и необходимости применения акцепторов для его связывания широкое практич. применение этого способа ограничено. Этим способом получают N-замещенные П. (напр., из пиперазина), отличающиеся более высокой тепло- и морозостойкостью, чем их незамещенные аналоги.

Замещенные П. могут быть получены также ацетилирова-нием незамещенных линейных П. уксусным ангидридом в р-ре (кат.-хлорная к-та):

4006-4.jpg

В основе синтеза т. наз. безизоцианатных П. лежат нетрадиционные р-ции уретанообразования. Напр., полиоксипро-пиленгидроксиуретаны получают из олигомеров пропилен-оксида, содержащих концевые циклокарбонатные группы (мол. м. 800-2000), и алифатич. диаминов:

4006-5.jpg

Таким способом получают П. принципиально иного строения с новыми св-вами (в данном случае-с повыш. стойкостью к действию щелочей и высоких т-р), чем традиционные П. на основе полиоксипропиленгликолей.

Уретансодержащие взаимопроникающие полимерные сетки (ВПС) получают из разветвленных или сетчатых П. и полимеризующихся мономеров или реакционноспособных олигомеров. Напр., сетчатый П. подвергают сначала набуханию в стироле или олигоэфиракрилате, а затем-полимеризации и(или) отверждению. Св-ва ВПС неаддитивны св-вам индивидуальных полимеров, их составляющих (см. также Сетчатые полимеры ).

Уретанфункцион. олигомеры получают взаимод. изо-цианатсодержащих форполимеров (см. ниже) с соединениями НО—R—f, где f- функц. группа, напр. эпоксидная, метакрилатная, пероксидная; R-алкилен. Напр., для синтеза олигоуретанэпоксидов используют глицидол:

4006-6.jpg

Такие олигомеры способны отверждаться теми же отверди-телями, что и их аналоги, не содержащие уретановых групп. Продукты для получения П. 1. Изоцианаты: толу-илендиизоцианаты (2,4- и 2,6-изомеры или их смесь в соотношении 65:35), 4,4-дифенилметан-, 1,5-нафтилен-, гекса-метилендиизоцианаты, полиизоцианаты, трифенилметан-триизоцианат, биуретизоцианат, изоциануратизоцианаты, димер 2,4-толуилендиизоцианата, изоцианаты блокированные (см. также Изоцианаты ). Перечисл. диизоцианаты используют для синтеза всех типов П., полиизоцианаты-для получения жестких пенополиуретанов и лакокрасочных покрытий, биурет- и изоциануратизоцианаты-гл. обр. для получения лакокрасочных покрытий, трифенилметантриизо-цйанат-в осн. для сшивания относительно низкомолекулярных П., содержащих концевые группы ОН, в двухупако-вочных клеевых композициях, блокир. диизоцианаты-в одноупаковочных. Строением диизоцианата определяются скорость уретанообразования, прочностные показатели, свето- и радиац. стойкость, жесткость П.

2. Гидроксилсодержащие компоненты: 1) олигогликоли -продукты (мол. м. 1000-5000) гомо- и сополимеризации ТГФ, пропилен- и этиленоксидов (полиоксиалкиленглико-ли), дивинила, изопрена (олигодиендиолы); 2) сложные полиэфиры с концевыми группами ОН-линейные продукты поликонденсации адипиновой, фталевой и др. дикарбоновых к-т с этилен-, пропилен-, бутилен- или др. низкомол. глико-лями; разветвленные продукты поликонденсации перечисл. к-т и гликолей с добавкой триолов (глицерина, триметилол-пропана), продукты полимеризации е-капролактона. Гидроксилсодержащий компонент определяет в осн. комплекс физ.-мех. св-в П.

3. Агенты удлинения и структурирования цепей: 1) гидро-ксилсодержащие - вода, гликоли, оксиэтилир. дифенилол-пропан, моноаллиловый эфир глицерина, касторовое масло; 2) диамины -4,4-метилен-бис-(о-хлоранилин), фенилен-диамины и др. Природой этих агентов определяются мол. масса линейных П., густота вулканизац. сетки и строение поперечных хим. связей, возможность образования доменных структур (см. ниже) и, как следствие, комплекс св-в П. и их назначение (пенопласты, волокна, эластомеры и т.д.).

4. Катализаторы р-ций: 1) уретанообразования-третичные амины, хелатные соед. Fe, Си, Be, V, нафтенаты Рb и Sn, октаноат (октоат) и лауринат Sn; 2) циклотримеризации -неорг. основания; комплексы третичных аминов с эпокси-дами.

5. Прочие: в-ва, используемые для повышения стабильности сложноэфирных П. к щелочному гидролизу (карбо-диимиды), эмульгаторы, стабилизаторы изоцианатных групп при хранении полиуретановых форполимеров-гало-генангидриды карбоновых к-т.

В пром-сти синтез П. осуществляют в одну или две стадии, чаще всего в массе, реже-в р-ре.

Первый этап процесса-сушка гидроксилсодержащего компонента в вакууме (80-110 °С, остаточное давление 0,7-1,3 кПа) в аппаратах, снабженных рубашкой и быстроходной мешалкой, а также в роторно-пленочных аппаратах, спец. пленочных сушилках, имеющих сопла, через к-рые подается нагретый до 150°С азот.

При одностадийном методе кроме гидроксилсодержащих соед. и диизоцианатов в аппарат одновременно вводят агенты удлинения и структурирования; процесс ведут при 20-100 °С до исчерпания изоцианатных групп, кол-во к-рых в начале р-ции практически находится в эквимолярном соотношении с суммой гидроксильных и др. функц. групп компонентов, содержащих активный атом водорода (вода, спирты, гликоли, карбоксилсодержащие соед.). При этом протекает ряд последовательно-параллельных р-ций. Поэтому этим методом получают в осн. сильно сшитые пено-пласты, лакокрасочные покрытия, а также относительно низкомолекулярные, преим. линейные, волокнообразующие П. и пластмассы.

Для более четкого разделения процессов удлинения цепи и сшивания используют двустадийный метод, при к-ром на первой стадии синтезируют т. наз. изоцианатный фор-пол и мер, содержащий концевые изоцианатные группы (мол. м. 1000-5000; молярный избыток изоцианатных групп к гидроксильным - не менее 2). Процесс осуществляют, как правило, периодич. способом в аппаратах с мешалкой при 80-110 °С в присут. катализатора в атмосфере инертного газа. Контроль р-ции ведут по убыли изоцианатных групп, кол-во к-рых по сравнению с первоначальным должно уменьшиться не более чем в 2 раза.

На второй стадии проводят взаимод. форполимера с агентами удлинения (при синтезе линейных П.) или удлинения и структурирования при 20-100°С. При этом используют чаще всего эквимолярное соотношение между изоци-анатными группами форполимера и суммой активных атомов Н агентов удлинения и структурирования. На этой завершающей стадии синтеза при получении линейных П. расплав полимера выдавливают из аппарата и после охлаждения блоки гранулируют (получают термоэластопласты, пластики) или подвергают вальцеванию (каучуки). При проведении процесса в р-рителе р-ры полимеров сливают в емкости для послед. переработки (клеи, р-ры для формования волокон).

По др. способу при синтезе сетчатых П. в массе как по одно-, так и двустадийной технол. схеме получают жидкую реакц. массу путем интенсивного смешения компонентов в литьевых машинах разл. типа, снабженных дозирующими устройствами. Смесительные камеры машин представляют высокоэффективные перемешивающие устройства с числом оборотов до 30 тыс. в 1 мин; время пребывания реакц. массы в камере не превышает 5-10 с. Полученную массу сливают в формы требуемой конфигурации, где и завершается "реакц. формование", т. е. получение изделий (пенопластов, эластомеров).

Свойства. Линейные П.-твердые аморфные или кристаллизующиеся полимеры; мол. м. (10-50)·103; практически полностью раств. в высокополярных (ДМФА, ДМСО, про-пиленкарбонат) или протоноакцепторных (диоксан, ТГФ) р-рителях. Сетчатые П. ограниченно набухают в этих р-рителях; их св-ва определяются не только строением исходных компонентов, но и густотой пространств. сетки (степенью сшивания). Уретанфункцион. олигомеры-вязкие жидкости (вязкость от сотен до неск. тысяч пуаз); мол. м. 1000-5000; раств. во многих орг. р-рителях.

Св-ва П. обусловлены наличием взаимодействий специ-фич. характера (водородные связи, связи ионного типа) и неспецифического (диполь-дипольных, ван-дер-ваальсовых взаимод., а также кристаллизацией), суммарный вклад к-рых в формирование комплекса св-в П. является определяющим.

При образовании водородных связей донорами протонов служат атомы Н уретановых групп, в случае полиуретан-мочевин и полиамидоуретанов - атомы Н соответствующих функц. групп; акцепторами протонов являются карбонилы перечисл. групп, а также сложноэфирных групп в случае полиэфируретанов и простые эфирные связи в случае П., полученных на основе полиоксиалкиленгликолей. Уретановые, мочевинные и др. группы, имеющиеся в структуре П., участвуют также в диполь-дипольных взаимодействиях. В результате проявления сил специфич. межмол. взаимодействия в структуре П. возникают ассоциаты, т. наз. доменные образования, термодинамически не совместимые с массой основных цепей полимеров, но связанные с ними химически. Вследствие такой несовместимости происходит микрофазное расслоение (микросегрегация) на надмолекулярном уровне. При этом фаза, образованная ассоциатами, является своеобразным усиливающим "активным наполнителем" в П. В частности, этим объясняется возможность получения на основе П. материалов, обладающих высокими конструкц. св-вами (прочностью, твердостью, сопротивлением раздиру), без введения активных наполнителей.

В случае полиуретанмочевин домены-циклич. образования типа I. В т. наз. сегментированных П. (блокполи-уретанах), синтезированных из изоцианатных форполиме-ров, при получении к-рых соотношение изоцианатных и гидроксильных групп составляло больше 2, и эквимоляр-ного кол-ва низкомол. диола (агент удлинения цепи), доменные структуры образуются вследствие высокой концентрации блоков соседних уретановых групп (тип II). В ионо-мерах, т. наз. катионных П., доменные структуры, образуются в виде четвертичных аммониевых соединений (тип III):

4006-7.jpg 4006-8.jpg

4006-9.jpg

Все межмол. взаимод. играют также роль "физ." поперечных связей. Усиливающие эффекты, обусловленные наличием доменных структур, проявляются только в совокупности: 1) с взаимодействиями неспецифич. характера, напр. с появлением кристалличности (использование кристаллизующихся алифатич. диизоцианатов и диолов для получения волокнообразующих П. и нек-рых термоэластопластов); 2) с сильным когезионным взаимод. ароматич. диолов (использование ароматич. полиэфиров и диолов для получения термоэластопластов); 3) с наличием хим. поперечных связей (литьевые П.-пенопласты, эластомеры, клеи и лакокрасочные покрытия).

Сильные межмол. взаимод. определяют и специфику пространств. сетки П.: будучи образована только "физ." поперечными связями (термоэластопласты, пластмассы, волокна), она обеспечивает св-ва квазисетчатых материалов (высокая прочность при комнатной т-ре, твердость и др.). Для получения высоких прочностных показателей у не-наполненных П., способных функционировать при повыш. т-рах, необходима смешанная пространств. сетка из "физ." и хим. поперечных связей, причем кол-во последних должно быть невелико. В противном случае хим. связи будут препятствовать своб. конформации цепей П. и соответственно реализации сил межмол. взаимодействий.

Наличие межмол. взаимодействий определяет и особенности релаксац. поведения П. С одной стороны, это существ. снижение мех. показателей при многократных воздействиях нагрузок из-за частичного разрушения "физ." связей, в т. ч. под воздействием развивающихся т-р, с другой - равновесный характер лабильных "физ." связей, способность их вследствие этого к перераспределению и восстановлению после снятия нагрузки и периода "отдыха"; этим объясняется регенерация св-в П., что особенно проявляется в случае пенопластов.

Достоинства П., определившие быстрое развитие их произ-ва (особенно во вспененной форме): 1) полимеры этого класса обладают уникальным комплексом св-в: высокой прочностью и твердостью в ненаполненном состоянии в сочетании с эластичностью, масло- и бензостойкостью, хорошей адгезией к широкому кругу материалов, радиац. стойкостью и, наконец, исключительно высоким сопротивлением истиранию, по величине к-рого П. превосходят большинство известных полимеров.

2) Варьирование природы исходных компонентов и простое изменение их соотношения позволяет относительно легко получать широкий ассортимент материалов - пластиков, эластомеров, волокон, пенопластов. Теми же путями можно варьировать и способы переработки П.: т. наз. реакц. формование, или реакц.-инжекц. формование (производят литьевые, пенопласты и эластомеры); литье под давлением (термоэластопласты, волокна); на стандартном оборудовании резинотехн. пром-сти (т. наз. вальцуемые уретановые эластомеры).

3) Технически ценные вспененные П. получают, как правило, не путем введения порофоров или применения газов, а в результате взаимод. изоцианатных компонентов с водой, карбоксилсодержащими полиэфирами или др.; при этом создаются благоприятные условия для формирования макроструктуры пеноматериала одновременно с хим. р-циями его образования.

Недостатки П.: невысокая стойкость при повыш. т-рах и к действию щелочей, накопление остаточных деформаций под действием длит. нагрузок, резкая зависимость физ.-мех. св-в от перепадов т-ры.

Применение. Линейные П. используют как пластич. массы, полиуретановые волокна, термоэластопласты, для получения искусств. кож, клеев (см. Клеи синтетические ), вальцуемых П. Сетчатые П. используют как пенополиуретаны , уретановые эластомеры , лаковые покрытия (см. Полиуретановые лаки ), герметики. Полиуретановые иономеры применяют для получения латексов, используемых в лакокрасочной пром-сти, для приготовления клеев, произ-ва электропроводящих материалов, в медицине.

Уретановые ВПС-основа усиленных каучуков, ударопрочных пластиков, спец. клеев, лаков, вибро- и шумо-защитных материалов. Уретанофункцион. олигомеры-заливочные отверждаемые компаунды; их применяют также для приготовления клеев, получения лакокрасочных покрытий. "Безизоцианатные" П. применяют при изготовлении полов пром. зданий и сооружений.

Крупнейшие потребители П.: автомобилестроение (до 25% всего объема произ-ва), изготовление мебели (до 20%), стр-во (16%), в произ-ве холодильников (9%), остальное-с. х-во, электроника, обувная пром-сть, произ-во товаров культурно-бытового назначения.

Мировое произ-во П. ок. 3,5 млн. т (1986); из них на долю пенопластов приходится до 87%.

Крупнейшие производители П.: США, Канада (до 37% общего объема выпуска), Зап. Европа (до 42%), Япония (12%), остальные страны (10%).

П. впервые получены в Германии в 1937 О. Байером с сотрудниками.

Лит.: Липатов Ю. С., Керча Ю.Ю., Сергеев Л. М., Структура и свойства полиуретанов, К., 1970; Райт П., Камминг Л., Полиуретановые эластомеры, пер. с англ., Л., 1973; Энциклопедия полимеров, т. 3, М., 1977, с. 63-70; Композиционные материалы на основе полиуретанов, пер. с англ., под ред. Дж. М. Бьюиста, М., 1982; Любартович О. А., Морозов Ю. Л., Третьяков О. Б., Реакционное формирование полиуретанов, М., 1990; Advances in urethane science and technology, ed. by K.. C. Frisch and S. L. Reegen, v. 1 -4, Stamford, 1971-76; Frisch K.C., "Popular Plastics", 1986, v. 31, № 3, p. 17-21; UTECH 86: Polyurethane industrys international conference. The Hague, March 18-20, 1986, v. 4-7, L., 1986. Л.Я. Раппопорт.



Поделитесь с друзьями:


Вы можете поставить ссылку на это слово:

будет выглядеть так: ПОЛИУРЕТАНЫ


будет выглядеть так: Что такое ПОЛИУРЕТАНЫ

Реклама:
Толковые словари и Энциклопедии. Словарь - ПОЛИУРЕТАНЫ - Химическая энциклопедия - Толковые Словари и Энциклопедии