Электронные словари и энциклопедии: Большой энциклопедический словарь, Словарь Даля, Словарь Ожегова и т.д.

Химическая энциклопедия
"ПСЕВДООСНОВАНИЯ"

Главная - Химическая энциклопедия - буква П - ПСЕВДООСНОВАНИЯ
Химическая энциклопедия
Искать!

ПСЕВДООСНОВАНИЯ , неионные формы нек-рых орг гидроксидов, способные в определенных условиях превращаться в ионные формы ("истинные основания"). Наиб распространены в гетероциклич. ряду. Так, при действии щелочи на соль хинолиния (ф-ла I) образуется сначала истинное (ионное) основание (II), к-рое затем изомеризуется в П (III):

4028-9.jpg

П. не проводят электрич. тока, поэтому за изомеризацией следят по электрич. проводимости р-ра, к-рая постепенно снижается почти до нуля (явление медленной нейтрализации). П., как и истинные основания, при действии к т превращаются в исходные соли.

Устойчивость П. характеризуется величиной рKR + , численно равной значению рН, при к-ром концентрации П. и истинного основания равны между собой; чем больше pKR+, тем труднее образуется П. Напр., для катиона 1-ме-тилхинолиния (I; R = Н) pKR+ = 16,5 т.е. концентрация П. даже в сильно щелочной среде очень мала; для катиона, содержащего электроотрицат. группу (I; R = NO2), pKR+ = = 5,31, т.е. в щелочных средах преобладает П.

Многим гетероциклическим П. свойственна кольчато-цеп-ная таутомерия. Так, при действии щелочи на катион 1,3-ди-метилбензимидазолия образующееся П. в кристаллич. состоянии находится в ациклич. форме; спиртовая форма м. б. зафиксирована при определенных условиях в безводных неполярных р-рителях (напр., в бензоле):

4028-10.jpg

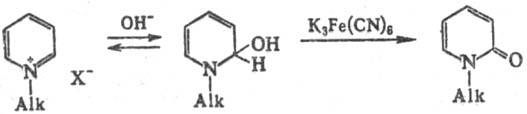
Нек-рые гетероциклические П. подвергаются окислит.-восстановит. диспропорционированию. В присут. внеш. окислителей П. превращаются в соответствующее оксосое-динение. Эта р-ция имеет важное препаративное значение при получении N-алкил-2-пиридонов из солей N-алкилпири-диния:

4028-11.jpg

Термин "П." введен в орг. химию А. Ганчем в кон. 19 в.

Лит.: Bunting J.W., в кн.: Advances in heterocyclic chemistry, ed. by A.R. Katritzky and A.J. Boulton, v. 25, N. Y., 1979, p. 1-82. А.Ф. Пожарский.



Поделитесь с друзьями:


Вы можете поставить ссылку на это слово:

будет выглядеть так: ПСЕВДООСНОВАНИЯ


будет выглядеть так: Что такое ПСЕВДООСНОВАНИЯ

Реклама:
Толковые словари и Энциклопедии. Словарь - ПСЕВДООСНОВАНИЯ - Химическая энциклопедия - Толковые Словари и Энциклопедии