Электронные словари и энциклопедии: Большой энциклопедический словарь, Словарь Даля, Словарь Ожегова и т.д.

Химическая энциклопедия
"ПСИХОСТИМУЛИРУЮЩИЕ СРЁДСГВА"

Главная - Химическая энциклопедия - буква П - ПСИХОСТИМУЛИРУЮЩИЕ СРЁДСГВА
Химическая энциклопедия
Искать!

ПСИХОСТИМУЛИРУЮЩИЕ СРЁДСГВА (психостимуляторы, психотоники, психоаналептики), лек. в-ва, стимулирующие психич. деятельность человека.

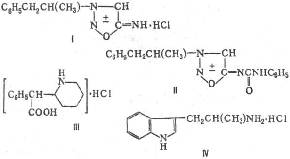
По хим. строению П. с. делят обычно на две группы: 1) фенилалкиламины и родственные им соединения; 2) ме-тилксантины. К первой группе относится, в частности, фенамин (амфетамин) [C6H5CH2CH(CH3)NH2]2·H2SO4-первый синтетич. психостимулятор; создан по принципу структурной аналогии с высокоактивными производными b-фенилэтиламина-норадреналином и дофамином . Модификацией структуры р-фенилэтиламина получены также сид-нофен (ф-ла I), сиднокарб (мезокарб, II), меридил (метил-фенидат, III), а модификацией молекулы фенамина - индо-пан (гидрохлорид a-метилтриптамина, IV).

4028-12.jpg

Общее в нейрохим. механизме действия названных препаратов-способность стимулировать норадренергич. и до-фаминергич. рецепторы нейронов мозга путем высвобождения норадреналина и дофамина из пресинаптич. нервных окончаний и торможения обратного захвата этих биогенных аминов. Вместе с тем в механизме действия и метаболизме этих в-в имеются определенные различия, что обусловливает особенности их влияния на организм.

Фенамин, особенно его (+)-изомер [(+)-амфетамин, декстроамфетамин)], обладает высокой психостимулирующей активностью. Однако он имеет ограниченное применение в связи с развитием лек. зависимости-болезненного пристрастия и привыкания (к-рое приводит к быстрому ослаблению лек. действия при многократном применении), а также в связи с выраженным периферич. симпатомиметич. действием -повышением артериального давления, учащением пульса, сухостью во рту и др. Меридил практически не оказывает периферич. симпатомиметич. действия, но уступает фенамину по психостимулирующей активности. Сиднокарб, в отличие от фенамина, стимулирует центр. нервную систему не столь сильно, но более продолжительно. Кроме того, сиднокарб не оказывает периферич. симпатомиметич. действия, а при длит. применении не вызывает развития лек. зависимости.

Сиднокарб, меридил и реже фенамин применяют при нарколепсии, для устранения астении, апатии, сонливости. Сиднофен и индопан обладают также св-вами антидепрессантов, что обусловлено способностью этих препаратов вызывать обратимое, непродолжит. угнетение моноаминок-сидазы-фермента, участвующего в инактивации биогенных моноаминов. Сиднофен и индопан практически не оказывают возбуждающего действия на здоровых людей; их используют при астенич. и астенодепре ссивных состояниях разл. происхождения.

Основной представитель П. с. второй группы -кофеин (1,3,7-триметилксантин), к-рый оказывает наряду с психостимулирующим также аналептич. действие (возбуждает дыхат. и сосудодвигат. центры мозга). Кроме того, он непосредственно влияет на ф-ции внутр. органов (стимулирует сердечную деятельность, усиливает диурез и т. д.). Др. метилксантины, напр. теофиллин и теобромин (см. Пурино-вые алкалоиды), проявляют меньшее психостимулирующее и аналептич. действие, но сильнее кофеина влияют на ф-ции внутр. органов.

Центральный и периферич. эффекты метилксантинов связывают с внутриклеточным накоплением аденозин-3,5-мо-нофосфата, что обусловлено уменьшением распада последнего в связи с угнетающим влиянием препаратов на фосфо-диэстеразу. Определенную роль в механизме стимулирующего действия метилксантинов может играть их способность конкурировать с эндогенным аденозином за связывание с его рецепторами в мозге.

Кофеин и его аналоги применяют при заболеваниях, сопровождающихся угнетением ф-ций центр. нервной системы и ослаблением сердечной деятельности, а также утомлении, мигрени, понижении артериального давления.

Лит.: Харкевич Д. А., Фармакология, 2 изд., М., 1981; Бобков Ю.Г., Виноградов В. М., в кн.: Фармакологическая регуляция процессов утомления, М., 1982, с. 7-33; Машковский М. Д., Лекарственные средства, 11 изд., т. 1, М., 1988. Р.А. Альтшулер.



Поделитесь с друзьями:


Вы можете поставить ссылку на это слово:

будет выглядеть так: ПСИХОСТИМУЛИРУЮЩИЕ СРЁДСГВА


будет выглядеть так: Что такое ПСИХОСТИМУЛИРУЮЩИЕ СРЁДСГВА

Реклама:
Толковые словари и Энциклопедии. Словарь - ПСИХОСТИМУЛИРУЮЩИЕ СРЁДСГВА - Химическая энциклопедия - Толковые Словари и Энциклопедии