Электронные словари и энциклопедии: Большой энциклопедический словарь, Словарь Даля, Словарь Ожегова и т.д.

Химическая энциклопедия
"РАЙМЕРА-ТИМАНА РЕАКЦИЯ"

Главная - Химическая энциклопедия - буква Р - РАЙМЕРА-ТИМАНА РЕАКЦИЯ
Химическая энциклопедия
Искать!

РАЙМЕРА-ТИМАНА РЕАКЦИЯ , получение ароматич. о-гидроксиальдегидов формулированием фенолов при нагр. с хлороформом и щелочью, напр.:

4035-9.jpg

Р-цию обычно осуществляют в этаноле или пиридине. Наряду с о-гидроксиальдегидом, как правило, образуется незначит. кол-во пара -изомера, особенно в тех случаях, когда орто -положение в исходном феноле занято. Вместо СНС13 можно использовать др. галоформы-СНВr3 и СНI3.

В Р.-Т.р. вступают алкил-, алкокси- и галогенфенолы, причем легче всего реагируют соед., содержащие указанные заместители в пара- положении к гидроксигруппе. Выходы о-гидроксиальдегидов обычно меньше 50%. Наличие в ароматич. ядре электроноакцепторных заместителей (SO3H, СООН, NO2 и др.) затрудняет р-цию, и выходы ожидаемых продуктов обычно невелики. В случае о- и n-алкил(арил)-фенолов наряду с о-гидроксиальдегидами могут образовываться гем -производцые (аномальная Р.-Т. р.), напр.:

4035-10.jpg

Механизм р-ции включает образование из СННаl3 под действием щелочи дигалогенкарбена, к-рый атакует фенолят-анион:

4035-11.jpg

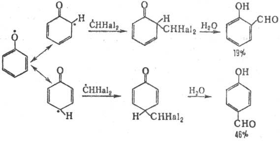
Формилирование фенолов возможно также действием на них галоформа при УФ облучении (т. наз. фотохимическая Р.-Т. р.). В этом случае р-ция осуществляется по радикальному механизму (генерируются феноксильные радикалы и СННа12):

4035-12.jpg

Аналогично происходит формилирование М.М-диалкиланилинов.

В р-цию, подобную Р.-Т.р., вступают также гидрокси-производные ряда нафталина, хинолина, трополона, тиазо-ла и др., напр.

4036-1.jpg

Изоэлектронные аналоги фенолов (пиррол, индол и их производные) реагируют с галоформами по механизму Р.-Т. р. с образованием соотв. альдегидов, и гем -замещен-ных производных, напр.:

4036-2.jpg

В нек-рых случаях в условиях Р.-Т.р. наблюдалось расширение кольца вследствие внедрения дихлоркарбена (Ча-мичана-Деништедта р-ция), напр.:

4036-3.jpg

Р.-Т.р. находит практич. применение, напр., в пром. синтезе салицилового альдегида. Р-ция открыта К. Райме* ром и Ф. Тиманом в 1876.

Лит.: Трюс У.Э., в сб.: Органические реакции, пер. с англ., сб. 9, М., 1959, с. 45-81; Общая органическая химия, пер. с англ., т. 2. М., 1982, с. 711-12; Wynherg Н., "Cham. Rev.", 1960, v. 60, № 2, p. 169-84; Organic reactions, v. 28, N.Y., 1982, p. 1. Л.А. Хейфиц.




Поделитесь с друзьями:


Вы можете поставить ссылку на это слово:

будет выглядеть так: РАЙМЕРА-ТИМАНА РЕАКЦИЯ


будет выглядеть так: Что такое РАЙМЕРА-ТИМАНА РЕАКЦИЯ

Реклама:
Толковые словари и Энциклопедии. Словарь - РАЙМЕРА-ТИМАНА РЕАКЦИЯ - Химическая энциклопедия - Толковые Словари и Энциклопедии