Электронные словари и энциклопедии: Большой энциклопедический словарь, Словарь Даля, Словарь Ожегова и т.д.

Химическая энциклопедия
"СПИРТЫ"

Главная - Химическая энциклопедия - буква С - СПИРТЫ
Химическая энциклопедия
Искать!

СПИРТЫ (алкоголи), орг. соед., содержащие в молекуле одну или неск. гидроксильных групп ОН у насыщ. атомов углерода. По кол-ву этих групп различают одно- (иногда термин "алкоголи" относят только к одноатомным спиртам), двух- (гликоли), трех- (глицерины) и многоатомные спирты. Спирты, содержащие две группы ОН у одного атома углерода (гем -диолы), как правило, неустойчивы. Нек-рые из этих соед., напр. стабилизированные внутримол. водородными связями, стабильны. С. могут содержать Hal, группы NH2, СНО и СО, СООН, CN (соотв. галогена-спирты, аминоспирты , оксиалъдегиды и оксикетоны, окси-кислоты, оксинитрилы ). Алифатические С. могут быть первичными RCH2OH, вторичными RRCHOH и третичными RRR:СОН. Соед. с группой ОН при двойной связи относят к енолам, а при углероде ароматич. кольца-к фенолам.

По номенклатуре ИЮПАК, название С. производят прибавлением к назв. соответствующего углеводорода суффикса "ол" либо префикса "гидрокси" для соед. со смешанными ф-циями или в случае, когда группа ОН находится в боковой цепи, напр.: НОСН2СН2СН(СН2ОН)СН2ОН наз. 2-гидроксиметил-1,4-бутандиол. Многие С. имеют тривиальные назв. (см. табл.).

4081-1.jpg

В природе С. встречаются в виде сложных эфиров (жиры, воски, эфирные масла) и в своб. состоянии. Так, 3-гексенол (т. наз. спирт листьев) содержится в зеленых листьях и фруктах, эфирных маслах, бензиловый С.-в жасминном масле, а фенетиловый С.-в розовом масле.

Свойства. С.-жидкости или твердые в-ва, хорошо раств. во мн. орг. р-рителях. Низшие алифатические С. раств. в воде; высшие алифатич. и арилалифатические С. плохо раств. в воде.

Алифатич. спирты С13 обладают характерным алкогольным запахом, С45 сладковатым удушливым запахом, высшие алифатические С. без запаха, арилалифатические С. и терпеноиды, содержащие группу ОН, с фруктово-цветочным запахом.

Атом кислорода гидроксильной группы имеет sp3-гибридизацию. Средние длины связей 0,143 нм (С—О) и 0,091 нм (О—Н). Обе связи полярны. Полярностью группы ОН и. ее способностью образовывать водородные связи объясняют относительно высокие значения т-р кипения и диэлектрич. проницаемости спиртов.

В ИК спектрах С. характеристич. полосы поглощения лежат в области 3580-3670 см-1 (своб. группа ОН). 3450-3550 см-1 (внутримол. ассоциаты), 3200-3400 см-1 (межмол. ассоциаты). В УФ и видимой областях спектра группа ОН не поглощает. В спектрах ПМР хим. сдвиг группы ОН d 0,5-5,5 м. д., мультиплетность сигнала зависит от характера С.: первичные С. дают триплет, вторичные-дублет, третичные-синглет. Группа ОН обладает отрицат. индукционным и положит. мезомерным эффектами: константа Тафта s* 1,55, константы Гаммета sмета 0,121, sпара - 0,37, 4081-2.jpg-0,853.

Подобно воде, С. проявляют амфотерные св-ва. Величина рKa (вода, 25 °С) для СН3ОН 15,1, С2Н5ОН 15,9, (СН3)3СОН4081-3.jpg19, (CF3)3COH 5,4.

Большинство р-ций С. протекает с разрывом связей О—H или С—О. Для С. характерны также р-ции, в к-рых участвуют a-H-атом (окисление), b-H-атом (дегидратация). или d-Н-атом (окислит. циклизация).

Со щелочными, щел.-зем. и др. металлами С. образуют алкоголяты, напр.:

4081-4.jpg

Р-ция с сильными минер. к-тами приводит либо к эфирам этих к-т (избыток к-ты), либо к простым эфирам (избыток спирта), напр.:

С3Н7ОН + HOSO3H4081-5.jpgC3H7OSO3H+Н2O

4081-6.jpg

Р-ция образования простых эфиров может протекать по механизмам SN2 (R и R-первичный алкил) либо SN1 (R-mpem-алкил, аллил, бензил) в зависимости от легкости образования карбкатиона; для р-ций, протекающих по механизму SN1, используют мягкие условия (разб. к-ты, по-ниж. т-ру) во избежание дегидратации до олефинов. Дегидратация под действием сильных минер. к-т идет и в случае первичных или вторичных спиртов.

Простые эфиры образуются также при дегидратации С. в присут. катализаторов либо при их присоединении по кратным связям, напр.:

4081-7.jpg

С2Н5ОН + CH3CH=CHCN4081-8.jpgCH3CH(OC2H5)CH2CN

Р-ция С. с альдегидами в присут. НСl, n-толуолсульфо-кислоты и др. катализаторов приводит к ацеталям, напр.:

С2Н5ОН + СН3СНО4081-9.jpgCH3CH(OC2H5)2

При взаимодействии С. с карбоновыми к-тами образуются сложные эфиры: р-цию проводят в избытке спирта с одновременным удалением воды в присут. катализаторов (НС1, BF3, H2SO4 и др.); в случае первичных и вторичных спиртов катализатор активирует к-ту, в случае третичных-спирт:

4081-10.jpg

К сложным эфирам приводят также р-ции С. с ангидридами, хлорангидридами, нитрилами, присоединение С. к кетенам:

4081-11.jpg

При взаимодействии С. с изоцианатами образуются уре-таны, при взаимод. с НС1, SOCl2, PCl3 и др. происходит обмен группы ОН на галоген (легче всего для третичных С.), напр.:

ROH + RNCO : RNHCOOR ROH + SOCl2 : RCl + HCl + SO2

Восстановление С. приводит к углеводородам, действие NH3-к аминам (последнюю р-цкю используют в пром-сти для получения низших алифатич. аминов), напр.:

4081-12.jpg

При действии окислителей (Na2Cr2O7, KMnO4, N-бром-сукцинимид и др.) первичные С. превращаются в альдегиды (и далее в к-ты), вторичные - в кетоны (окисление вторичных спиртов в условиях р-ции Оппенауэра также приводит к ке-тонам); такие же превращения могут осуществляться ката-литич. дегидрированием С. в газовой (напр., пропусканием паров С. над Cu, Ag, Cr, Ni) или жидкой фазе (над Rh, Ru, Os). Третичные С. устойчивы к окислению в нейтральных и щелочных средах, в кислой среде происходит отщепление воды и расщепление углеродного скелета с образованием кетонов или к-т с меньшим числом атомов углерода. В пром-сти часто применяют каталитич. окисление С. кислородом воздуха (так получают СН2О из СН3ОН, СН3СНО и СН3СООН из С2Н5ОН) и электрохим. окисление.

При окислении С., содержащих d-H-атом, происходит циклизация с образованием производных фурана, напр.:

4081-13.jpg

При взаимод. С2Н5ОН с гипогалогенитами Na образуются соотв. хлороформ, бромоформ и йодоформ (т. наз. галоформная р-ция):

4081-14.jpg

Анализ. С. дают окрашенные соед. с соед. Ce(IV), напр. аммонийцерийгексанитратом (NH4)2 [Ce(NO3)6]. Для идентификации С. используют р-ции с хлорангидридами бензойной или 3,5-динитробензойной к-ты, либо с фенил-изоцианатом, приводящие к образованию хорошо кристаллизующихся эфиров бензойной к-ты или уретанов. Для количеств. определения гидроксильных групп применяют метод Церевитинова: ROH + RMgX : ROMgX + RH, a для смесей используют хроматографич. методы.

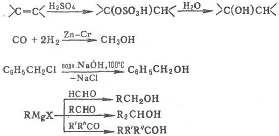
Получение. Получают С. гидратацией олефинов и присут. H2SO4 или Н3РО4 (в осн. алканолы С2—С4); восстановлением СО на катализаторах Zn—Сг при т-ре 300-400 °С и давлении 25-45 МПа (наряду с СН,ОН образуются С3Н7ОН, изо 4Н9ОН и алканолы С514); гидролизом галогенсодержащих соед.; взаимод. карбонильных соед. с реактивами Гриньяра, напр.:

4081-15.jpg

Для получения С. используют также восстановление карбонильных соед. натрием, его амальгамой, LiAlH4 в условиях р-ции Меервейна-Понндорфа-Верлея, гидрирование в присут. катализаторов (Pt, Ni) либо электролитич. восстановление.

Для пром. получения бутанола, 2-этилгексанола и пента-эритрита используют альдольную конденсацию, напр.:

4081-16.jpg

Первичные С. (в т. ч. ароматические) образуются по р-ции Канниццаро либо при взаимод. бензола с алкеноксидами в присут. АlСl3 в условиях р-ции Фриделя-Крафтса; ацетиленовые-по р-ции Реппе; гидроксиэфиры-в условиях р-ции Кнёвенагеля [Кневенагеля], напр.:

4081-17.jpg

Известны др. способы синтеза С.: гидроборирование ал-кенов, гидролиз сложных эфиров, ферментативное брожение Сахаров.

Применение. Применяют С. как полупродукты в синтезе разл. орг. соед. (формальдегида, ацетальдегида, ацетона, уксусной к-ты, диэтилового эфира, сложных эфиров карбо-новых к-т), в произ-ве красителей, синтетич. волокон, душистых в-в, лек. препаратов, моющих ср-в, пластификаторов и мономеров, в пищ. пром-сти. С. используют как р-рители, ПАВ и др., метиловый спирт также в качестве моторного топлива.

Наиб. значение имеют амиловые спирты , бензиловый спирт, бутиловые спирты , высшие жирные спирты , метиловый спирт , пентаэритрит , пропиловый спирт , b-фенил-этиловый спирт, циклогексанол , этиленгликоль , этиловый спирт .

Среди С. наиб. токсическим действием обладает метанол (смертельная доза 100-150 мл), окисляющийся в организме до формальдегида и муравьиной к-ты. Токсичность многоатомных спиртов невысока, за исключением эти-ленгликоля, образующего в организме ядовитую щавелевую к-ту.

Мировое произ-во спиртов 30 млн. т/год (1985).

Лит.: Теддер Дж., Нехватал А., Джубб А., Промышленная органическая химия, пер. с англ., М., 1977; Общая органическая химия, пер. с англ., т. 2,, М., 1982; Monick J.A., Alcohols. Their chemistry, properties and manufacture, N.Y., 1968; The chemistry of the hydroxyl group, ed. by S. Patai, L., 1971; Kirk-Othmer encyclopedia, 3 ed., v. I, N.Y., 1978. С. К. Смирнов.



Поделитесь с друзьями:


Вы можете поставить ссылку на это слово:

будет выглядеть так: СПИРТЫ


будет выглядеть так: Что такое СПИРТЫ

Реклама:
Толковые словари и Энциклопедии. Словарь - СПИРТЫ - Химическая энциклопедия - Толковые Словари и Энциклопедии