Электронные словари и энциклопедии: Большой энциклопедический словарь, Словарь Даля, Словарь Ожегова и т.д.

Химическая энциклопедия
"ТЕМПЕРАТУРА"

Главная - Химическая энциклопедия - буква Т - ТЕМПЕРАТУРА
Химическая энциклопедия
Искать!

ТЕМПЕРАТУРА (от лат. temperatura- надлежащее смешение, нормальное состояние), термодинамич. параметр, характеризующий состояние термич. равновесия макроскопич. системы. Наряду с давлением, хим. потенциалом и др. параметрами состояния , Т. относится к интенсивным величинам, т.к. не зависит от массы системы. Согласно принципу термич. равновесия, две фазы А и В, адиабатически изолированные от окружающей среды (внутр. энергии фаз соотв. ЕА + ЕВ = const), могут находиться в состоянии равновесия, к-рое характеризуется определенными значениями4103-27.jpgи4103-28.jpg(рА, рB-давления;4103-29.jpg, 4103-30.jpg -молярные объемы фаз). Экспериментально установлено, что если фаза А находится в равновесии с фазой В, а В-с С, то А и С также находятся в равновесии. Из принципа термич. равновесия следует, что каждая фаза обладает эмпирической Т. q-измеримым св-вом такого рода, что из qА(рA;4103-31.jpg) = qB(рB;4103-32.jpg) и qB(рB;4103-33.jpg) = qC(рC;4103-34.jpg) следует qА(pА;4103-35.jpg) = qс(рс;4103-36.jpg).

Если две фазы с разл. q приведены в тепловой контакт друг с другом через пов-сть раздела и qА > qВ, возникает поток теплоты от А к В, т. е. от более нагретой фазы к менее нагретой. При qА = qВ тепловой поток отсутствует. Принцип термич. равновесия впервые сформулирован Дж. Блэком в кон. 18 в. В термодинамику он введен, однако, позднее первого и второго начал термодинамики, поэтому его часто называют нулевым началом термодинамики.

Существует множество ф-ций q(p,4103-37.jpg), удовлетворяющих нулевому началу. Конкретный вид q(p,4103-38.jpg) определяется используемым измерит. прибором-термометром и способом построения термометрич. шкалы.

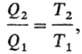
Понятие абсолютной Т. введено У. Томсоном (лордом Кельвином) в 1848 на основании теоремы Карно, согласно к-рой все обратимые тепловые машины, где рабочее тело совершает круговой процесс между нагревателем с эмпирической Т. q1 и холодильником с эмпирической Т. q2, имеют одинаковый кпд h, независимо от природы рабочего тела:

4103-39.jpg

где Q1- тепло, отбираемое рабочим телом от нагревателя, Q2-тепло, передаваемое холодильнику. Значения q1 и q2 можно измерить с помощью произвольной шкалы Т., величины4103-40.jpgи h при смене шкалы остаются постоянными. Абсолютная Т. вводится соотношением:

4103-41.jpg

где T1 и Т2-абсолютные Т. нагревателя и холодильника соотв., причем T1 есть ф-ция только q1, а Г2-только q2. Для построения шкалы абсолютной Т. достаточно приписать определенное значение Т, одному известному термич. состоянию. В настоящее время по международному соглашению принято, что абсолютная (термодинамич.) Т. плавления воды при нормальном давлении равна 273,15 К (точно). Абсолютный нуль Т. (или нулевая абсолютная Т.) имеют ясный физ. смысл как Т. холодильника в цикле Карно, при к-рой кпд тепловой машины h = 1. Тело, находящееся при нулевой Т., не способно передавать теплоту к.-л. другому телу. Единица измерения абсолютной Т. в системе СИ-градус Кельвина (Кельвин, К). Конкретные измерения абсолютной Т. осуществляются с помощью набора спец. термометров (подробнее см. Термометры , Термометрия ).

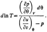
Согласно строгой формулировке второго начала термодинамики (аксиоматика Каратеодори), абсолютная Т. вводится как интегрирующий делитель для бесконечно малого кол-ва теплоты dQ, полученного системой, обладающей внутренней энергией Е, в обратимом процессе. Величина dQ/T является полным дифференциалом ф-ции состояния S, наз. энтропией . Абсолютная Т. выражается соотношением:

4103-42.jpg

X1, X2, Х3, ...-экстенсивные термодинамич. переменные (объем V, электростатич. индукция D, магн. индукция В и т.п.). Абсолютная Т. и эмпирическая Т. q связаны аналит. зависимостью для систем, у к-рых E является ф-цией только Ти V:

4103-43.jpg

Аналит. связь p,4103-44.jpgи Т для фазы наз. уравнением состояния . В статистической термодинамике аналогом ур-ния (1) служит соотношение:

4103-45.jpg

где W— термодинамич. вероятность, k-постоянная Больц-мана. Термодинамич. вероятность W(E)равна числу возможных состояний системы, при к-рых последняя обладает внутр. энергией Е. Термодинамич. вероятность связана с энтропией соотношением Больцмана S = kln W. Для обычной макроскопич. системы величина W- быстро возрастающая ф-ция Е и, следовательно, абсолютная Т. положительна.

Термич. равновесие двух систем А и В (EА + ЕB = const), определяемое равенством т-р TА = ТB, соответствует наиб. вероятному распределению энергии между А и В. Если В представляет собой обширный тепловой резервуар (ЕВ >> EА), то абсолютная Т. определяет плотность вероятности Р(Е) для системы А находиться в состоянии с заданной энергией EA,r при термич. равновесии с системой В:

4103-46.jpg

где, суммирование ведется по всем значениям 4103-47.jpg энергии EA.r (r = 1,2,... , п) подсистемы А (канонич. распределение Гиббса). Частными случаями канонич. распределения являются распределения молекул идеального газа по энергиям и скоростям (распределения Больцмана и Максвелла).

Важные физ. постоянные в-ва-его Т. кипения, плавления, фазовых переходов, полиморфных превращений, а также критическая Т. (см. Критическое состояние ), тройные точки .

Практически все физ.-хим. величины зависят от Т. Важными примерами являются температурные зависимости:

1) константы скорости хим. р-ции к:

4103-48.jpg

где EA-энергия активации, A-предэкспоненциальный множитель (см. Аррениуса уравнение , Константа скорости , Энергия активации ).

2) Константы равновесия хим. р-ции Кр:

4103-49.jpg

где R-газовая постоянная, 4103-50.jpg-стандартная энтальпия р-ции.

3) Теплового эффекта хим. р-ции при постоянном давлении (DH) и постоянном объеме (DU):

(9DН/9Т)р = DСр, (9DU/9Т)V = DСV,

где H и U-энтальпия и внутр. энергия системы, Ср и СV-теплоемкости при постоянном давлении и постоянном объеме соотв. (см. Кирхгофа уравнение ).

4) Теплоты равновесного фазового перехода L:

4103-51.jpg

где 4103-52.jpg-изменение молярного объема при переходе в-ва из фазы 1 в фазу 2 (см. Клапейрона -Клаузиуса уравнение ).

5) Стандартной электродвижущей силы E0 гальванич. цепи:

4103-53.jpg

где Кр(Т)-константа равновесия электродного процесса, F-Фарадея постоянная, Z-число переносимых электронов (см. Электрохимические цепи ).

6) Объемной плотности rv излучения абсолютно черного тела с частотой v (ф-ла Планка):

4103-54.jpg

где с-скорость света, h-постоянная Планка.

Полной объемной плотности излучения по всем частотам (закон Стефана - Больцмана):

4103-55.jpg

7) Степени ионизации a газа, состоящего из атомов А:

4103-56.jpg

где Ei-энергия ионизации атома, m-масса электрона; gi, gА-статистич. веса ионов и атомов (ур-ние Саха).

Понятие Т., сформулированное для равновесного состояния системы в целом, используется и для характеристики локального термодинамич. равновесия, если система в целом неравновесна и ее Т. рассматривается как непрерывная ф-ция координат и времени. При локальном термодинамич. равновесии малые элементы объема приближенно рассматриваются как равновесные, обладающие каждый своей Т., и учитывается обмен энергией (энтропией) между ними. Локальное термодинамич. равновесие-одно из осн. понятий термодинамики необратимых процессов . В ряде физ. задач неравновесная система м. б. разбита на подсистемы, в к-рых время установления термич. равновесия много меньше времени достижения равновесия системой в целом. Подобная ситуация м. б. охарактеризована тем, что каждой из подсистем соотносится своя Т., отличная от Т. других подсистем. Напр., в полупроводниках Т. электронов проводимости в сильном электрич. поле много выше Т. решетки; в плазме отдельно рассматривают Т. электронов и Т. ионов.

В нач. 50-х гг. 20 в. сформулировано понятие отрицательных абсолютных Т. Такие Т. могут возникать в системах, если с ростом энергии Е термодинамич. вероятность W (или энтропия S)не возрастает, а убывает, в результате чего производная 4103-57.jpg становится меньше нуля (см. ф-лы 1 и 2 ). Подобная ситуация реализуется для таких систем, в к-рых энергия Е ограничена снизу и сверху. Так, двухуровневая система, состоящая из N ядерных спинов во внеш. магн. поле (напр., ионы Li+ в кристалле LiF), имеет миним. энергию NE1, максимальную NE2, где E1 и Е2-энергии спина ядра на нижнем и верхнем уровнях. Начиная с энергии, равной N(E1 + E2)/2, термодинамич. вероятность W убывает с ростом энергии, что позволяет говорить об отрицательной Т. подсистемы (ионы Li+), но не для системы в целом. Рассматриваемая подсистема должна быть термически слабо связана с системой в целом, для к-рой отсутствуют ограничения по энергии.

При физ.-хим. исследованиях условно выделяют область низких Т. (см. Криохимия ) и область высоких Т. (обычно 500-3000 К), к-рую рассматривают как химию высоких Т., или просто высокотемпературную химию. Т. в интервале 500-3000 К получают методами радиационного и лазерного нагрева, электронной и ионной бомбардировки. Объекты высокотемпературной химии, как правило,-неорг. соединения. Характерными чертами высокотемпературных хим. процессов являются: 1) сравнительно малая роль констант скорости, энергий активации и т. п. кинстич. факторов, поскольку скорость р-ций высока и в системе быстро устанавливается равновесие; 2) увеличение роли газовой (паровой) фазы из-за интенсивных процессов испарения; 3) необходимость учета влияния заряженных частиц-ионов и электронов, возникающих в результате термодиссоциации (см. Ионы в газах , Ионно-молекулярные реакции ). Высокотемпературными процессами являются мн. металлургич. произ-ва, процессы напыления пленок, монокристаллов выращивания из газовой фазы и др.

Процессы в области Т. 3000-5000 К изучаются плазмо-химией.

Лит.: Кричевский И. Р., Понятия и основы термодинамики, 3 изд., М., 1962; Рей Ф., Статистическая термодинамика, пер. о англ., М., 1986.

М. В. Коробов.




Поделитесь с друзьями:


Вы можете поставить ссылку на это слово:

будет выглядеть так: ТЕМПЕРАТУРА


будет выглядеть так: Что такое ТЕМПЕРАТУРА

Реклама:
Толковые словари и Энциклопедии. Словарь - ТЕМПЕРАТУРА - Химическая энциклопедия - Толковые Словари и Энциклопедии