Электронные словари и энциклопедии: Большой энциклопедический словарь, Словарь Даля, Словарь Ожегова и т.д.

Химическая энциклопедия
"ВАН-ДЕР-ВААЛЬСА УРАВНЕНИЕ"

Главная - Химическая энциклопедия - буква В - ВАН-ДЕР-ВААЛЬСА УРАВНЕНИЕ
Химическая энциклопедия
Искать!

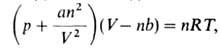
ВАН-ДЕР-ВААЛЬСА УРАВНЕНИЕ , ур-ние состояния реального газа. Для п молей газа, имеющего объем V при т-ре Т и давлении р. имеет вид:
1068-60.jpg

где R-газовая постоянная, а и b-постоянные Ван-дер-Ваальса, характерные для данного в-ва. Член an2/V2 учитывает притяжение молекул газа (уменьшение давления) вследствие межмолекулярных взаимод., член nb-отталкивание молекул на близких расстояниях из-за наличия у них "собственного объема". Для разреженных газов1068-61.jpg В. у. принимает вид: pV = nRT (см. Клапейрона-Менделеева уравнение ). Постоянные а и b определяют экспериментально, напр. по параметрам критич. точки.

В. у. - простейшее ур-ние состояния, позволяющее определять точку фазового перехода газ - жидкость и критич. т-ру, выше к-рой в-во может находиться только в газообразном состоянии. Однако В. у. является приближенным и количественно описывает нек-рые св-ва газа лишь при высоких Т и низких р. Оно даже качественно не описывает многие св-ва реального газа, напр. зависимость изохорной теплоемкости от плотности. Термодинамич. св-ва газов м. б. рассчитаны с достаточной точностью на основе вириаль-ного уравнения состояния.

Ур-ние было предложено И. Д. Ван-дер-Ваальсом в 1873.

Лит. см. при ст. Газы . М.А. Анисимов.



Поделитесь с друзьями:


Вы можете поставить ссылку на это слово:

будет выглядеть так: ВАН-ДЕР-ВААЛЬСА УРАВНЕНИЕ


будет выглядеть так: Что такое ВАН-ДЕР-ВААЛЬСА УРАВНЕНИЕ

Реклама:
Толковые словари и Энциклопедии. Словарь - ВАН-ДЕР-ВААЛЬСА УРАВНЕНИЕ - Химическая энциклопедия - Толковые Словари и Энциклопедии