Электронные словари и энциклопедии: Большой энциклопедический словарь, Словарь Даля, Словарь Ожегова и т.д.

Химическая энциклопедия
"АНТИДОТЫ"

Главная - Химическая энциклопедия - буква А - АНТИДОТЫ
Химическая энциклопедия
Искать!

АНТИДОТЫ (от греч. antidoton, букв. - даваемое против) (противоядия), препараты, применяемые для профилактики и лечения поражений токсичными в-вами. По характеру действия различают след. типы А.

1) Взаимодействующие с токсичными в-вами с образованием нетоксичных продуктов; напр., глюкоза и Na2S2O3 реагируют с цианидами, давая соотв. нетоксичные цианги-дрины и роданиды.

2) Конкурирующие с токсичными в-вами за биомишени (гл. обр. ферменты и рецепторы). Так, галантамин (см. Амариллисовые алкалоиды )и др. обратимые ингибиторы холинэстераз защищают эти ферменты от взаимод. с фосфорорг. ОВ (ФОВ) и пестицидами.

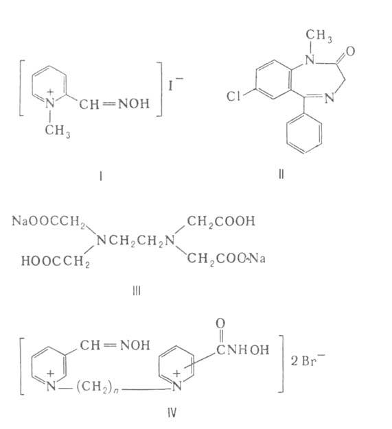
3) Реактивирующие активные центры ферментов, угнетенных токсичными в-вами. Так, иодметилат пиридин-2-альдоксима (ф-ла 1)-реактиватор холинэстераз, ингибированных ФОВ, унитиол HSCH2CH2(SH)CH2SO3Na и 2,3-димеркаптопропанол - реактиваторы пируватоксидазы, ингибированной люизитом или др. соед. As, а также лек. ср-ва при отравлении солями тяжелых металлов, к-рые в организме взаимод. с HS-группами ферментов. При поражениях синильной к-той или ее солями применяют "амилнитрит" (CH3)2CHCH2CH2ONO, при действии к-рого в организме из гемоглобина крови образуется метгемоглобин, являющийся реактиватором цитохромоксидазы клеток, ингибиро-ванных циан-ионами.

4) Основанные на принципах фармакологич. антагонизма, т.е. вызывающие симптомы, противоположные тем, к-рые наблюдаются при действии токсичного в-ва. К таким А. относятся холинолитические средства-атропин и др. Подобные в-ва взаимод. с холинорецепторами и предотвращают их перевозбуждение под действием высоких концентраций ацетилхолина, избыток к-рого в холинергич. синапсах образуется при угнетении холинэстераз ФОВ и др. антихолинэстеразными соединениями.

К этому же типу А. относятся нек-рые противосудорожные средства и транквилизаторы, действующие на тормозные синапсы, в к-рых медиатором является1033-15.jpgаминомасляная к-та, - барбитураты (фенобарбитал и др.) и бенздиазепины, напр. диазепам (II).

5) Способствующие выведению токсичных соед. из организма, гл. образом комплексоны-тетацинкальций (кальцийдинатриевая соль этилендиаминтетраацетата), трилон Б (III) и др. Эти соед. с катионами тяжелых металлов и нек-рыми РЗЭ образуют устойчивые комплексы, к-рые хорошо раств. в воде и относительно быстро выводятся из организма. Применяются также при поражениях радиоактивными изотопами.

Нек-рые А. обладают смешанным действием. Так, бисаммониевые соед. ф-лы IV (п = 3-5) - реактиваторы ингибированных холинэстераз и, кроме того, обладают противосудорожным действием (как н-холинолитики). Эффективность А. может быть повышена при совместном применении соед. разл. типов. Обычно А. используются в виде водных р-ров для подкожного или внутримышечного введения (при оказании первой медицинской помощи - с использованием шприц-тюбиков или авто-инъекторов). Профилактич. ср-ва, как правило, используют в виде таблеток.
1033-16.jpg

Лит.: Неотложная помощь при острых отравлениях, под ред. С.Н. Голикова, М, 1977; Руководство по токсикологии ОВ, под ред. С.Н. Голикова, Л., 1972; Дорохов Ю. В., Баранов Н. А., "Ж. Всес. хим. о-ва им. Д.И. Менделеева", 1968, т. 13, № 6, с. 690-99; Машковский М. Д., Лекарственные средства, 9 изд, М, 1984, с. 72, 184.



Поделитесь с друзьями:


Вы можете поставить ссылку на это слово:

будет выглядеть так: АНТИДОТЫ


будет выглядеть так: Что такое АНТИДОТЫ

Реклама:
Толковые словари и Энциклопедии. Словарь - АНТИДОТЫ - Химическая энциклопедия - Толковые Словари и Энциклопедии