Электронные словари и энциклопедии: Большой энциклопедический словарь, Словарь Даля, Словарь Ожегова и т.д.

Химическая энциклопедия
"АЦЕТАЛИ АМИДОВ КАРБОНОВЫХ КИСЛОТ"

Главная - Химическая энциклопедия - буква А - АЦЕТАЛИ АМИДОВ КАРБОНОВЫХ КИСЛОТ
Химическая энциклопедия
Искать!

АЦЕТАЛИ АМИДОВ КАРБОНОВЫХ КИСЛОТ (амидоацетали), орг. соед., содержащие две алкоксигруппы и дизамещенную аминогруппу при одном атоме углерода, RC(OR)2NR"R", где R = Н, Ar, Alk; R и R" = Alk; R" = = Alk, аралкил. К амидоацеталям (А.) относят также ацетали циклич. амидов (лактамов), наз. лактамацеталями, и дитиоацетали амидов карбоновых к-т (амидомеркаптали) RC(SR)2NR"R". А. - подвижные жидкости (см. табл.); раств. во всех орг. р-рителях.

СВОЙСТВА НЕКОТОРЫХ АЦЕТАЛЕЙ АМИДОВ
1042-27.jpg

В р-рах А. находятся в равновесии с амбидентным катионом (ф-ла I) и алкокси-анионом (в случае амидомеркапталей - с тиолят-анионом), что обусловливает их высокую реакц. способность по отношению к нуклеоф. реагентам. Если R = Alk, напр. СН3, в равновесии участвует также1042-28.jpgалкоксиенамин (или1042-29.jpgалкилтиоенамин) (II), ответственный за возможность взаимод. и с электроф. реагентами:
1042-30.jpg

А. легко гидролизуются водой до амидов. При взаимодействии их со спиртами или тиолами происходит обмен алкоксигрупп на др. алкокси- или алкилтиогруппы соответственно; при реакции с первичными аминами образуются амидины , со вторичными аминами - новые А., напр.:
1043-1.jpg

А. реагируют с соед., содержащими активную метиленовую группу (малоновым, ацетоуксусным или циануксусным эфирами, нитрометаном, ацетофеноном или др.), с образованием енаминов, напр.:
1043-2.jpg

где Z = O или S.

А. - алкилирующие агенты, что обусловлено наличием в равновесии с ними катионов I. Напр., при р-ции диэтилацеталя N-метилкапролактама (III) с бензойной к-той образуется этилбензоат, с малоновым эфиром - этилмалоновый эфир, а также соответствующие енамин и N-метилкапролактам:
1043-3.jpg

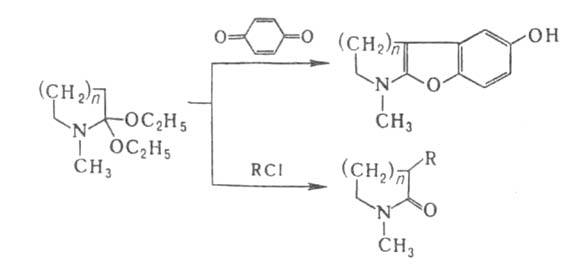
Р-ция электроф. реагентов, напр. алкил- или ацилгалогенидов, с диэтилацеталем N,N-диметилацетамида CH3C(OC2H5)2N(CH3)2 направляется на1043-4.jpgатом С, приводя к образованию амидов RCH2CON(CH3)2 или RCOCH2CON(CH3)2. Аналогично реагируют ацетали N-метиллактамов. При использовании бензохинона получаются производные бензофурана:
1043-5.jpg

Общий метод синтеза А.-взаимод.1043-6.jpgзамещенных солей иммония (IV,a,6) с алкоголятами Na (для получения амидомеркапталей - с RSNa). Соли IV получают из N,N-дизaмeщенных амидов алкилированием либо действием РОС13, РС15 или СОС12, напр.:
1043-7.jpg

А. используют для синтеза разл. конденсированных гетероциклич. соед., напр. производных индола и азаиндола. Ацетали диметилформамида - циклизующие агенты в синтезе производных имидазола, пиридина, пиримидина и др.

Лит: Г рани к В. Г. [и др.], "Успехи химии", 1977, в. 4. т. 46, с. 685-711; Abdulla R. F., Brinkmeyer R. S., "Tetrahedron". 1979, v. 35. №14. p. 1675-1735; GlocdeJ., HaaseL, Gross Н„ "Z. Chem.", 1969, Jg. 9, № 6, S. 201-13. В.Г. Гранин.



Поделитесь с друзьями:


Вы можете поставить ссылку на это слово:

будет выглядеть так: АЦЕТАЛИ АМИДОВ КАРБОНОВЫХ КИСЛОТ


будет выглядеть так: Что такое АЦЕТАЛИ АМИДОВ КАРБОНОВЫХ КИСЛОТ

Реклама:
Толковые словари и Энциклопедии. Словарь - АЦЕТАЛИ АМИДОВ КАРБОНОВЫХ КИСЛОТ - Химическая энциклопедия - Толковые Словари и Энциклопедии