ОСМОС
(от греч.
-толчок,
давление), самопроизвольный перенос в-ва через полупроницаемую мембрану, разделяющую
два р-ра разл. концентрации или чистый р-ритель и р-р. Наиб. часто происходит
переход р-рителя через полупроницаемую мембрану, не пропускающую растворенное
в-во. Самопроизвольный массоперенос возникает в
результате того, что хим. потенциал р-рителя уменьшается при увеличении концентрации
растворенного в-ва.

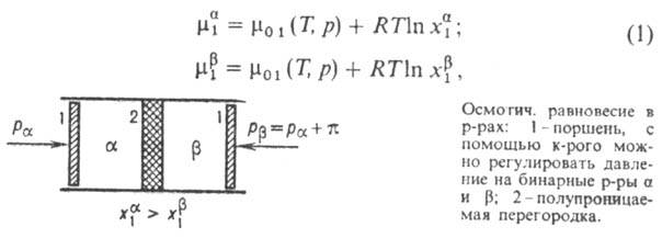
Рассмотрим два объема
и бинарного
р-ра (см. рис.), разделенных полупроницаемой перегородкой, пропускающей молекулы
р-рителя (компонент 1) и не пропускающей молекулы растворенного в-ва (компонент
2). Если т-ра T и давление р по обе стороны перегородки одинаковы
(Т =
Т ,
),
а молярные доли различны (
), то
(Т, р, )
> (Т,
р, ).
Для идеальных или сильно разбавленных реальных р-ров, где
-хим.
потенциал чистого р-рителя, R-газовая постоянная. При
система термодинамически неравновесна и, следовательно, имеет место переход
компонента 1 из объема в
объем
до тех пор, пока его молярные доли в обоих объемах не станут одинаковыми. Для
того чтобы предотвратить массоперенос и выравнивание концентраций и сохранить
первонач. состав обоих р-ров, необходимо выравнить хим. потенциалы компонента
1 по обе стороны перегородки изменением внеш. условий (т-ры, давления, внеш.
электрич. поля, если речь идет о р-рах электролитов). В изотермич. условиях
для сохранения состава фаз необходимо изменить давление на один из р-ров. Из
термодинамики известно, что

где -парциальный
молярный объем р-рителя. Для идеальных или предельно разбавленных реальных р-ров
, где
-молярный
объем чистого р-рителя. Знак производной положительный и при увеличении давления,
приложенного к р-ру ,
хим. потенциал р-рителя будет возрастать. Дополнит. давление
, к-рое надо приложить к р-ру
для того, чтобы предотвратить поступление в него р-рителя через полупроницаемую
мембрану из р-ра ,
наз. осмотич. давлением. При давлении
система находится в термодинамически равновесном состоянии:

Если
, равновесие нарушается и имеет место перенос р-рителя из более концентрир.
р-ра в менее концентрированный. Это явление получило назв. обратного осмоса;
оно находит широкое практич. применение в мембранных процессах разделения
в-в.
Для идеальных р-ров зависимость
осмотич. давления от состава выражается ур-нием:

где
-парциальные давления р-рителя в фазах
и . Если
фаза
представляет собой чистый р-ритель, т.е.
, то ;
ур-ние принимает вид, известный как ур-ние Ван Лаара:

Из него следует, что осмотич.
давление р-ра пропорционально ln x1. Этой же величине
пропорциональны понижение т-ры замерзания и повышение т-ры кипения идеальных
р-ров (см. Рауля закон
), что свидетельствует о связи этих явлений
с О.
Если концентрация растворенного
в-ва мала, зависимость осмотич. давления от его молярной концентрации с2
выражается ур-нием Вант-Гоффа:

Это ур-ние обычно используют
для расчета осмотич. давления бинарных р-ров недиссоциирующих в-в. Однако лучшее
совпадение расчетных значений с экспериментальными в широкой концентрац. области
дает ур-ние Ван Лаара (см. табл.). О методах и технике измерения осмотич. давления
см. Осмометрия
.
|