Электронные словари и энциклопедии: Большой энциклопедический словарь, Словарь Даля, Словарь Ожегова и т.д.

Химическая энциклопедия
"УНДЕКАЛАКТОН"

Главная - Химическая энциклопедия - буква У - УНДЕКАЛАКТОН
Химическая энциклопедия
Искать!

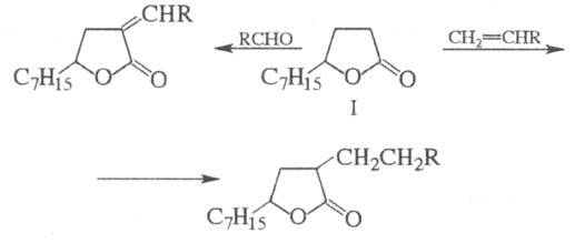
УНДЕКАЛАКТОН (5-гептилтетрагидрофуранон, g-гептил-g-бутиролактон, "альдегид С 14"), соед. ф-лы I, мол. м. 184,28; бесцв. жидкость с сильным запахом, при разбавлении напоминает запах персика; т. кип. 150-155 0С/5 мм рт. ст.; 5007-28.jpg 0,9494-0,9507; 5007-29.jpg 1,4512-1,4550; р-римость в 60%-ном этаноле 1:4, не раств. в воде. Под действием минер. к-т лак-тонный цикл У. размыкается. У. конденсируется с альдегидами и непредельными соед., напр.:

5007-30.jpg

Получают У. циклизацией 10-ундециленовой к-ты в присут. H2SO4 или радикальным присоединением 1-октанола к акриловой к-те.

Применяют У. для составления парфюм. композиций, мыльных отдушек и пищ. эссенций, а также как сырье для получения душистого в-ва - дигидрожасмона.

T. всп. 140 0C, т. самовоспл. 234 0C, КПВ 0,88-6,97% по объему, температурные пределы воспламенения: нижний 136 0C, верхний 191 0C. ЛД50 18,5 г/кг (крысы, перорально).

Л. А. Хейфиц.



Поделитесь с друзьями:


Вы можете поставить ссылку на это слово:

будет выглядеть так: УНДЕКАЛАКТОН


будет выглядеть так: Что такое УНДЕКАЛАКТОН

Реклама:
Толковые словари и Энциклопедии. Словарь - УНДЕКАЛАКТОН - Химическая энциклопедия - Толковые Словари и Энциклопедии